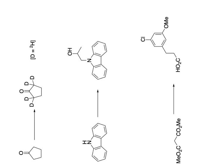
Question: Suggest suitable reagent(s) and conditions to perform the transformations below. Sometimes more than one step may be required. Consideration of stereochemistry and curved arrow mechanisms
Suggest suitable reagent(s) and conditions to perform the transformations below.
Sometimes more than one step may be required. Consideration of stereochemistry and curved arrow mechanisms are not required
[D=2H] MeO2CCO2Me
Step by Step Solution
There are 3 Steps involved in it
1 Expert Approved Answer
Step: 1 Unlock
Question Has Been Solved by an Expert!
Get step-by-step solutions from verified subject matter experts
Step: 2 Unlock
Step: 3 Unlock
