Question: SUMMATION NOTATION WRITE THE EXPRESSIONS IN EXPANDED FORM (5POINTS EACH) Exy + zi 1. 1-1 Solution: 4x1 2. i= Wil Solution:E(x - Ty) 3. Li=3




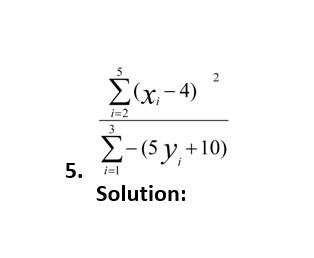
SUMMATION NOTATION WRITE THE EXPRESSIONS IN EXPANDED FORM (5POINTS EACH) Exy + zi 1. 1-1 Solution: 4x1 2. i= Wil Solution:E(x - Ty) 3. Li=3 Solution:II. EVALUATE THE FOLLOWING GIVEN: Xi Vi 10 0 2 8 3 3 6 6 4 4 9 2 12 Ex. + 5 y, 4. Solution:5 E(x, - 4) 2 1=2 3 E-(5 y, + 10) 5. i=1 Solution
Step by Step Solution
There are 3 Steps involved in it
Get step-by-step solutions from verified subject matter experts
