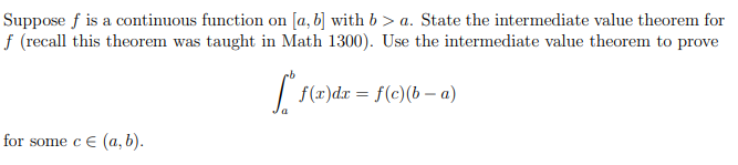
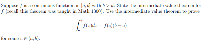
Question: Suppose f is a continuous function on [L1, in] with h 2::- a. State the intermediate value theorem for f [recall this theorem was taught
![Suppose f is a continuous function on [L1, in] with h](https://s3.amazonaws.com/si.experts.images/answers/2024/06/666fe4dbc87bb_115666fe4dbc49ef.jpg)

Suppose f is a continuous function on [L1, in] with h 2::- a. State the intermediate value theorem for f [recall this theorem was taught in Math 13GB}. Use the intermediate 1value theorem to prove b fa max = fKCJEb-a} for some 6 E (a, b}
Step by Step Solution
There are 3 Steps involved in it
Get step-by-step solutions from verified subject matter experts
