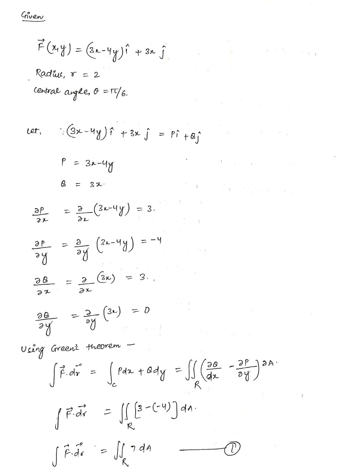
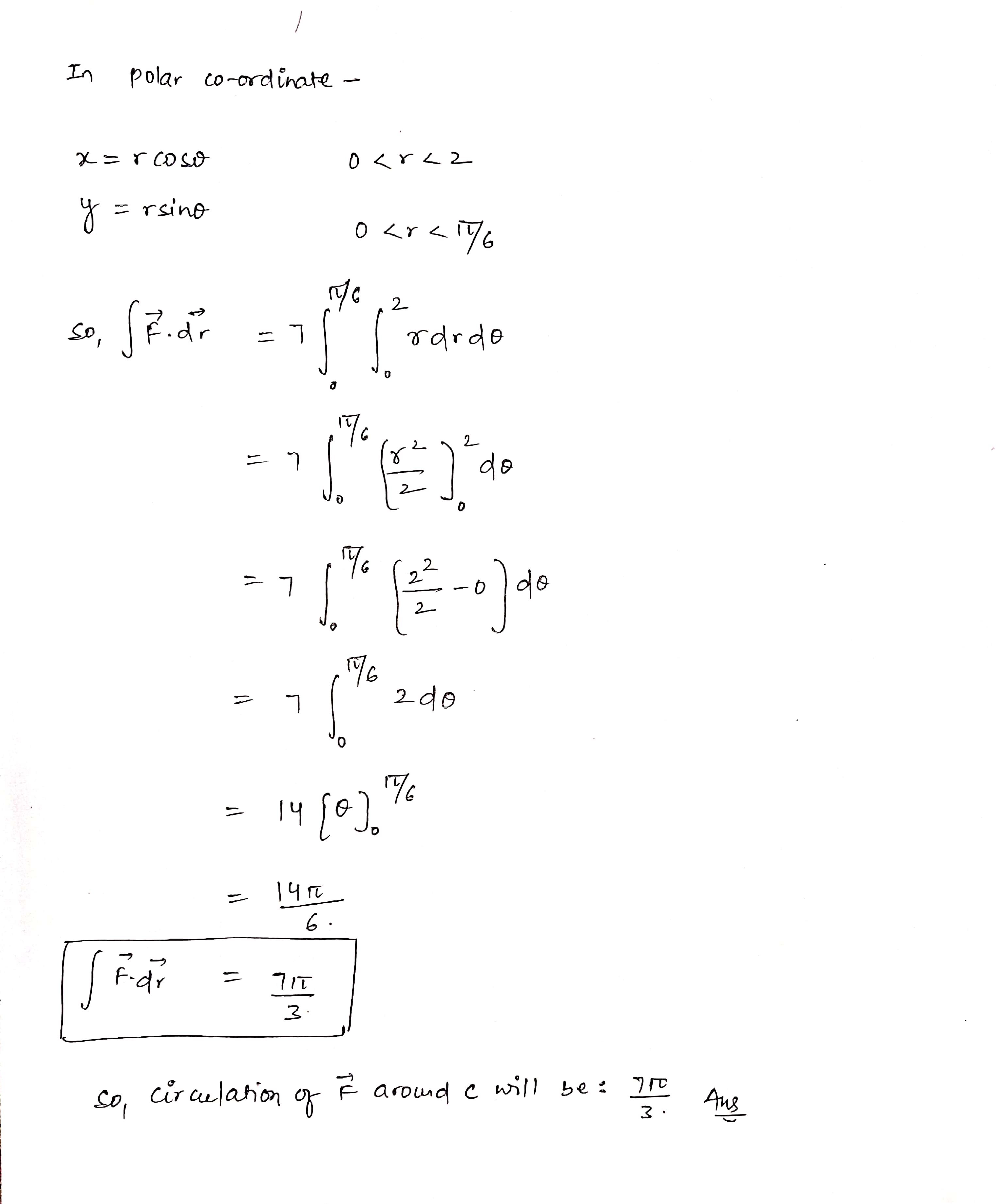
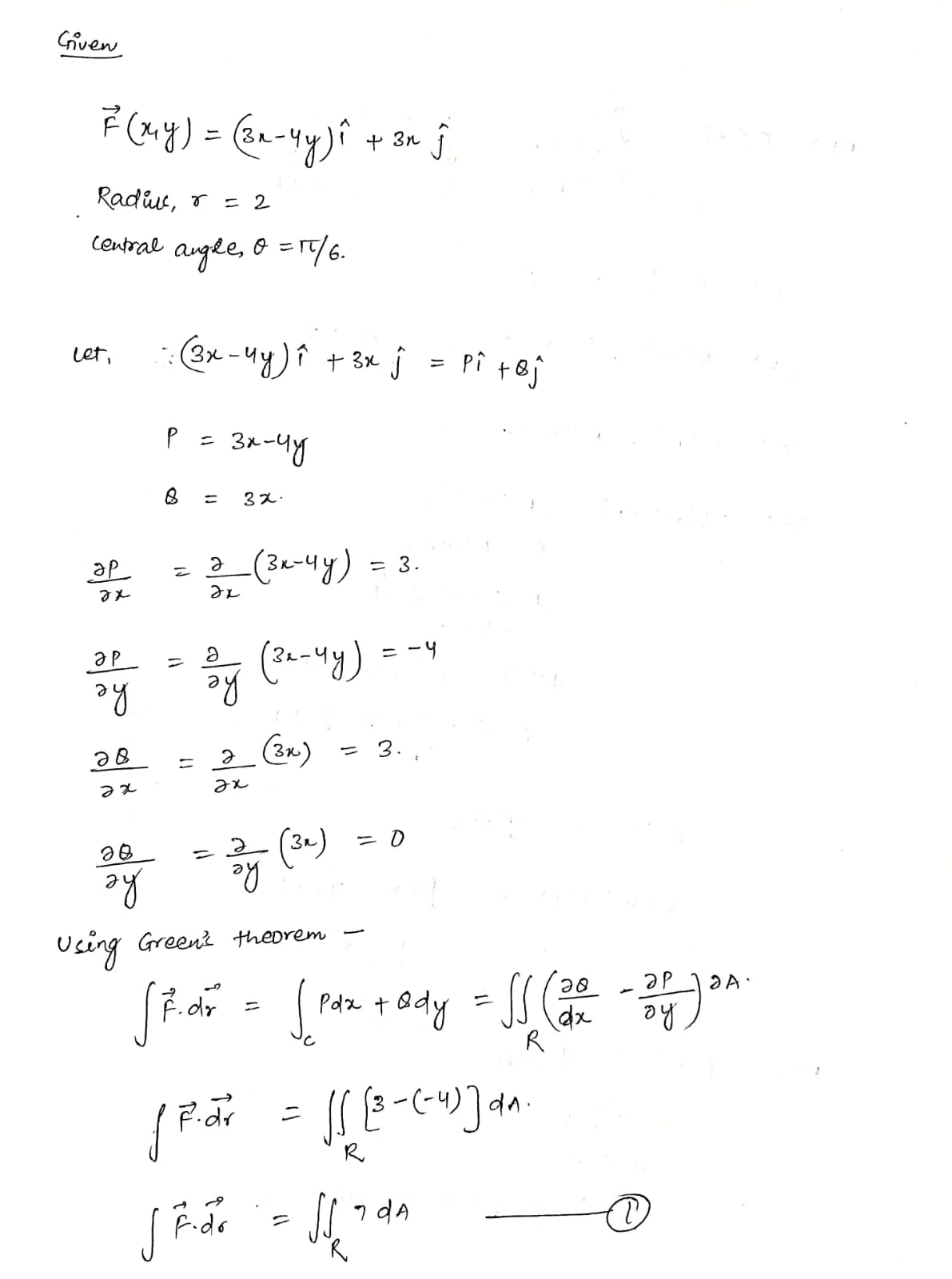
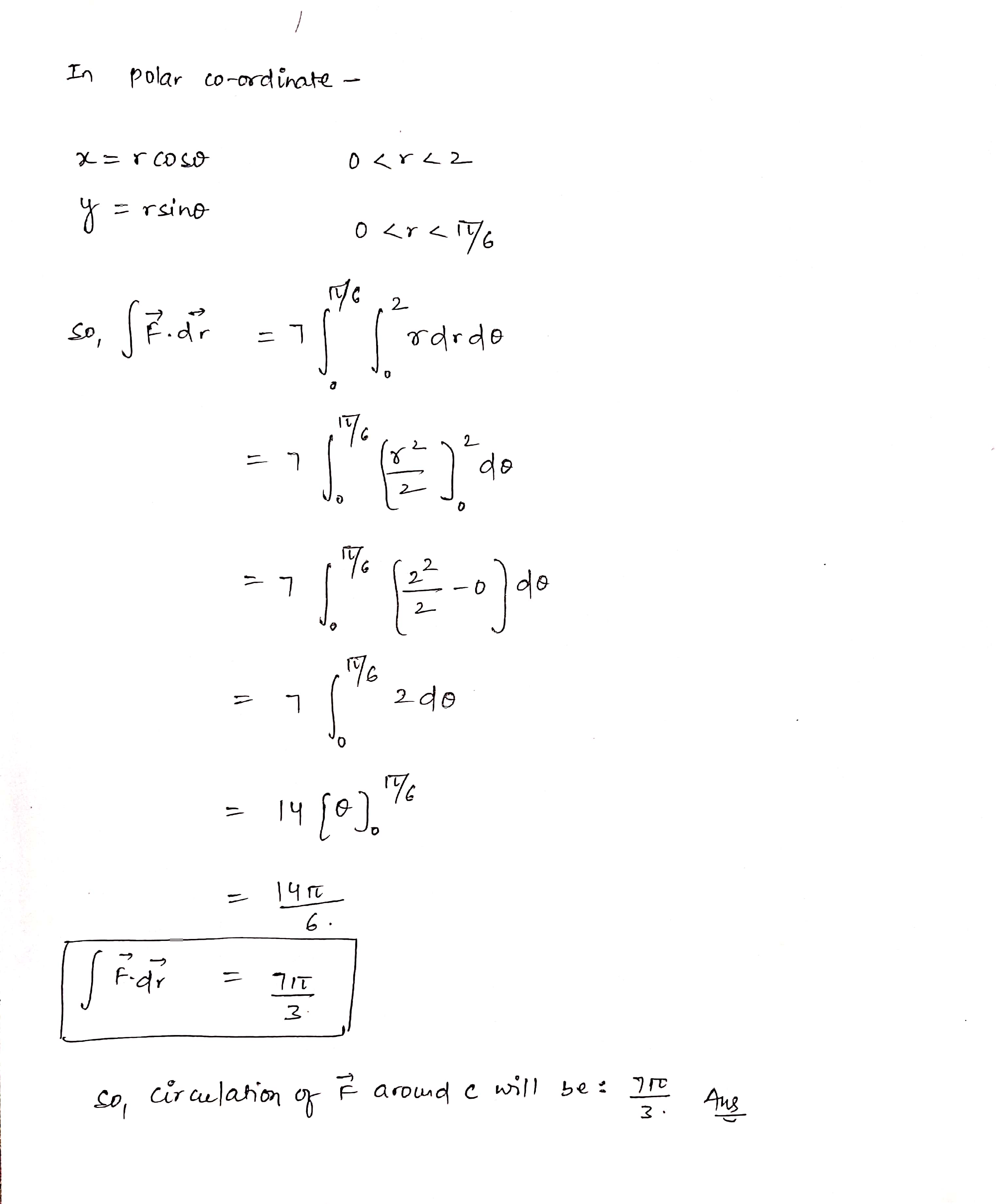
Question: Suppose F(x, y) = (3x - 4y)i + 3xj and O is the counter-clockwise oriented sector of a circle centered at the origin with radius






Suppose F(x, y) = (3x - 4y)i + 3xj and O is the counter-clockwise oriented sector of a circle centered at the origin with radius 2 and central angle */6. L Use Green's theorem to calculate the circulation of F around O. (Click on graph to enlarge) Circulation =Criven F ( My ) = ( 3 x- 4y) i + 3nj Radius, 8 = 2 central angle, o = 17 / 6. let , (3 x - 4y ) 1 + 3x j = pi + Bj P = 3 x- 4X 8 = 3x . ap z 2 ( 3 x-44 ) = 3. 3 X = a he ( 3x - 44 ) = - 4 = 2 (3x) = 3. . = 2 ( 3x ) = 0 24 ay Using Green's theorem - For = [ Pax + ady = JJ R [Rar = /1 [ 3 - (-4) ] an. R I F.do = JJ 7 dA RIn polar co-ordinate - x = r coso 0
Step by Step Solution
There are 3 Steps involved in it
1 Expert Approved Answer
Step: 1 Unlock
Question Has Been Solved by an Expert!
Get step-by-step solutions from verified subject matter experts
Step: 2 Unlock
Step: 3 Unlock
