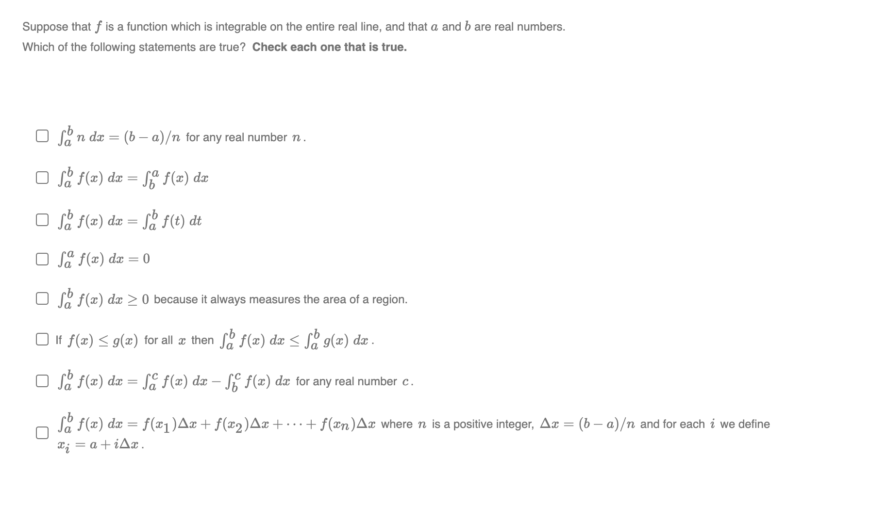
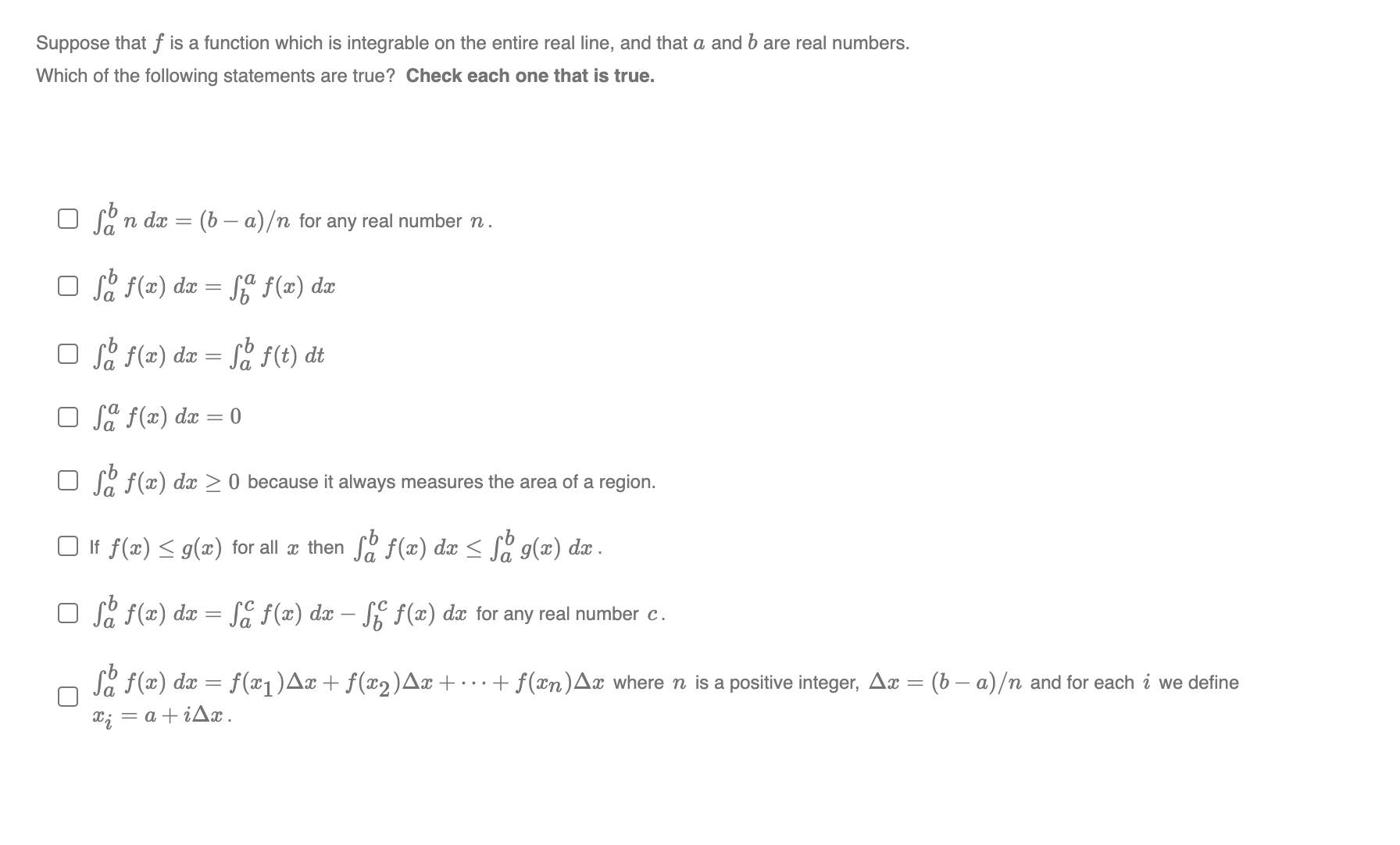
Question: Suppose that f is a function which is integrable on the entire real line, and that a and b are real numbers. Which of the






Suppose that f is a function which is integrable on the entire real line, and that a and b are real numbers. Which of the following statements are true? Check each one that is true. O Son da = (b - a) for any real number n. O Sof(x) dac = Saf(z) dac O sof(x) dac = Sof (t) at O Saf(x) dac = 0 O So f(ze) dac 2 0 because it always measures the area of a region. O If f(ac)
Step by Step Solution
There are 3 Steps involved in it
Get step-by-step solutions from verified subject matter experts
