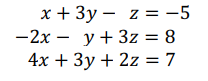
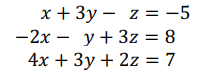
Question: system of equations using inverse matrix method x + 3y - Z = -5 - 2x - y + 3z = CO 4x + 3y

system of equations using inverse matrix method

x + 3y - Z = -5 - 2x - y + 3z = CO 4x + 3y + 2z = 7
Step by Step Solution
There are 3 Steps involved in it
1 Expert Approved Answer
Step: 1 Unlock
Question Has Been Solved by an Expert!
Get step-by-step solutions from verified subject matter experts
Step: 2 Unlock
Step: 3 Unlock
