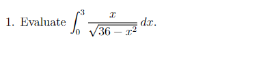
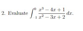
Question: T. 1. Evaluate 36 - 12- 4r + 1 2. Evaluate 2 - 3.r + 2dx 3. Use trigonometric substitution to show that = In








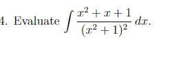
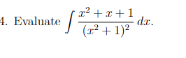
T. 1. Evaluate 36 - 12- 4r + 1 2. Evaluate 2 - 3.r + 2dx 3. Use trigonometric substitution to show that = In r + vx- +a? |+ C. Assume a > 0. /T- + 02+r+1 4. Evaluate d.r. (a:2 + 1)2
Step by Step Solution
There are 3 Steps involved in it
Get step-by-step solutions from verified subject matter experts
