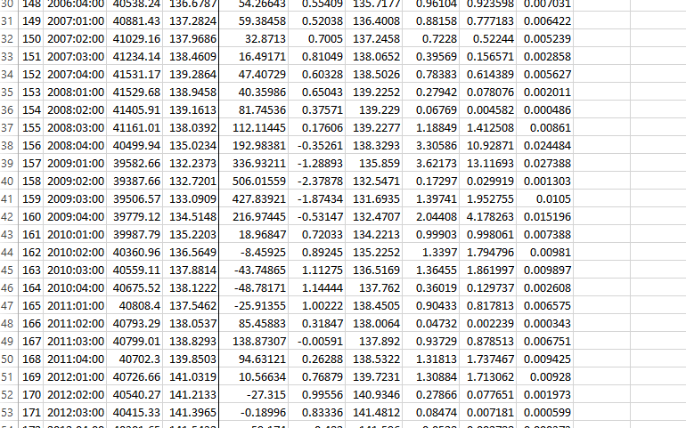
Question: T H A E World World 1 Demand GDP 2 Month YWRX YWR 3 121 2000:01:00 35331.46 116.9139 y 4 122 2000:02:00 35719.82 118.4366 5



T H A E World World 1 Demand GDP 2 Month YWRX YWR 3 121 2000:01:00 35331.46 116.9139 y 4 122 2000:02:00 35719.82 118.4366 5 123 2000:03:00 35903.04 118.6161 6 124 2000:04:00 36104.46 119.3893 Intercept (a Slope () E(y) MAD MSE MAPE 7 125 2001:01:00 36218 119.4937 25.16915 0.76057 119.4798 0.01387 0.000192 0.000116 8 126 2001:02:00 36329.52 119.9137 70.26935 0.39445 119.5756 0.3381 0.114312 0.00282 9 127 2001:03:00 36254.18 119.3714 69.58806 0.39972 119.9528 0.58138 0.338003 0.00487 10 128 2001:04:00 36193.41 119.5575 114.94496 0.03663 119.597 0.03947 0.001558 0.00033 11 129 2002:01:00 36280.6 120.3363 124.02296 -0.03509 119.5314 0.80486 0.6478 0.006688 12 130 2002:02:00 36453.83 121.1034 101.2575 0.14539 120.0128 1.09059 1.189387 0.009005 13 131 2002:03:00 36597.9 121.6534 43.31597 0.59748 120.9884 0.66503 0.442265 0.005467 14 132 2002:04:00 36714.03 121.9453 29.30299 0.70548 121.7209 0.22443 0.050369 0.00184 15 133 2003:01:00 36888.35 122.4259 51.08975 0.5377 122.0662 0.35975 0.12942 0.002939 16 134 2003:02:00 37022.08 123.4495 65.77089 0.42594 122.4209 1.02859 1.057997 0.008332 17 135 2003:03:00 37265.23 125.0727 44.6056 0.58689 123.2489 1.82384 3.326392 0.014582 18 136 2003:04:00 37590.52 126.4511 - 15.69408 1.04058 124.7842 1.66688 2.778489 0.013182 19 137 2004:01:00 37751.92 127.2079 -59.89906 1.36988 126.4046 0.80328 0.645259 0.006315 20 138 2004:02:00 37904.33 127.8853 -45.91098 1.26536 127.4433 0.44196 0.195329 0.003456 21 139 2004:03:00 38212.07 128.8461 1.14796 0.91946 128.0334 0.81266 0.660416 0.006307 22 140 2004:04:00 38395.81 129.6394 19.4896 0.78624 128.777 0.86244 0.743803 0.006653 23 141 2005:01:00 38517.35 130.8687| 14.05877 0.82553 129.633 1.23573 1.527029 0.009443 24 142 2005:02:00 38852.18 131.6712 -6.61195 0.97435 130.7714 0.8998 0.80964 0.006834 25 143 2005:03:00 39133.9 132.9088 -6.09328 0.97046 131.712 1.19676 1.432234 0.009004 26 144 2005:04:00 39470.22 133.7438 -18.86938 1.06107 132.8636 0.88017 0.774699 0.006581 27 145 2006:01:00 39825.33 134.9832 -8.2482 0.98629 133.7776 1.20564 1.453568 0.008932 28 146 2006:02:00 40031.09 135.3509 -21.2371 1.0771 134.9424 0.4085 0.166872 0.003018 29 147 2006:03:00 40178.18 135.4682 10.47231 0.85657 135.5315 0.06333 0.004011 0.000467 30 148 2006:04:00 40538.24 136.6787 54.26643 0.55409 135.7177 0.96104 0.923598 0.007031 31 149 2007:01:00 40881.43 137.2824 59.38458 0.52038 136.4008 0.88158 0.777183 0.006422 30 148 2006:04:00 40538.24 136.6787 31 149 2007:01:00 40881.43 137.2824 32 150 2007:02:00 41029.16 137.9686 33 151 2007:03:00 41234.14 138.4609 34 152 2007:04:00 41531.17 139.2864 35 153 2008:01:00 41529.68 138.9458 36 154 2008:02:00 41405.91 139.1613 37 155 2008:03:00 41161.01 138.0392 38 156 2008:04:00 40499.94 135.0234 39 157 2009:01:00 39582.66 132.2373 40 158 2009:02:00 39387.66 132.7201 41 159 2009:03:00 39506.57 133.0909 42 160 2009:04:00 39779.12 134.5148 43 161 2010:01:00 39987.79 135.2203 44 162 2010:02:00 40360.96 136.5649 45 163 2010:03:00 40559.11 137.8814 46 164 2010:04:00 40675.52 138.1222 47 165 2011:01:00 40808.4 137.5462 48 166 2011:02:00 40793.29 138.0537 49 167 2011:03:00 40799.01 138.8293 50 168 2011:04:00 40702.3 139.8503 51 169 2012:01:00 40726.66 141.0319 52 170 2012:02:00 40540.27 141.2133 53 171 2012:03:00 40415.33 141.3965 54.26643 0.55409 135./17 59.38458 0.52038 136.4008 32.8713 0.7005 137.2458 16.49171 0.81049 138.0652 47.40729 0.60328 138.5026 40.35986 0.65043 139.2252 81.74536 0.37571 139.229 112.11445 0.17606 139.2277 192.98381 -0.35261 138.3293 336.93211 -1.28893 135.859 506.01559 -2.37878 132.5471 427.83921 -1.87434 131.6935 216.97445 -0.53147 132.4707 18.96847 0.72033 134.2213 -8.45925 0.89245 135.2252 -43.74865 1.11275 136.5169 -48.78171 1.14444 137.762 -25.91355 1.00222 138.4505 85.45883 0.31847 138.0064 138.87307 -0.00591 137.892 94.63121 0.26288 138.5322 10.56634 0.76879 139.7231 -27.315 0.99556 140.9346 -0.18996 0.83336 141.4812 0.96104 0.923598 0.007031 0.88158 0.777183 0.006422 0.7228 0.52244 0.005239 0.39569 0.156571 0.002858 0.78383 0.614389 0.005627 0.27942 0.078076 0.002011 0.06769 0.004582 0.000486 1.18849 1.412508 0.00861 3.30586 10.92871 0.024484 3.62173 13.11693 0.027388 0.17297 0.029919 0.001303 1.39741 1.952755 0.0105 2.04408 4.178263 0.015196 0.99903 0.998061 0.007388 1.3397 1.794796 0.00981 1.36455 1.861997 0.009897 0.36019 0.129737 0.002608 0.90433 0.817813 0.006575 0.04732 0.002239 0.000343 0.93729 0.878513 0.006751 1.31813 1.737467 0.009425 1.30884 1.713062 0.00928 0.27866 0.077651 0.001973 0.08474 0.007181 0.000599 53 171 2012:03:00 40415.33 141.3965 -0.18996 0.83336 141.4812 0.08474 0.007181 0.000599 54 172 2012:04:00 40301.65 141.5432 59.174 0.482 141.596 0.0528 0.002788 0.000373 55 173 2013:01:00 40369.41 142.8436 112.01967 0.17171 141.5538 1.28981 1.66361 0.00903 56 174 2013:02:00 40561.64 143.3455 55.35431 0.50376 142.5048 0.84071 0.706793 0.005865 57 175 2013:03:00 40804.69 144.4784 18.98955 0.71474 143.3543 1.12409 1.263578 0.00778 58 176 2013:04:00 40904.96 145.2843 -18.43245 0.93075 144.4488 0.8355 0.69806 0.005751 59 177 2014:01:00 41079.5 145.5156 -3.5518 0.8455 145.2562 0.2594 0.067288 0.001783 60 178 2014:02:00 41186.29 146.2126 16.25664 0.73162 145.7534 0.45922 0.210883 0.003141 61 179 2014:03:00 41389.92 147.4719 49.46439 0.54339 146.1878 1.28409 1.648887 0.008707 62 180 2014:04:00 41556.33 148.2554 17.25965 0.72598 147.2101 1.04533 1.092715 0.007051 63 181 2015:01:00 41865.63 149.601 -22.33092 0.94787 148.2857 1.31532 1.730067 0.008792 64 182 2015:02:00 42391.57 150.4684 -48.64394 1.09487 149.5275 0.94087 0.885236 0.006253 65 183 2015:03:00 42288.29 150.826 -37.59938 1.03351 150.4994 0.32656 0.106641 0.002165 66 184 2015:04:00 42557.01 150.9317 -5.92478 0.85792 151.0746 0.14288 0.020415 0.000947 67 185 2016:01:00 42772.73 151.6612 71.07475 0.43497 151.1092 0.55197 0.304671 0.003639 68 186 2016:02:00 42913.49 152.3299 83.36859 0.36841 151.5244 0.80546 0.648766 0.005288 69 187 2016:03:00 43127.79 152.9715 54.73706 0.52412 152.2234 0.74812 0.559684 0.004891 70 188 2016:04:00 43448.75 153.5811 26.05432 0.67881 152.9918 0.58931 0.347286 0.003837 71 189 2017:01:00 43489.53 154.3204 33.25168 0.64013 153.5961 0.72428 0.524582 0.004693 72 190 2017:02:00 43870.67 155.2955 29.9051 0.65811 154.2879 1.00761 1.015278 0.006488 73 191 2017:03:00 44082.91 156.284 8.68412 0.77113 155.1988 1.08518 1.177616 0.006944 74 192 2017:04:00 44218.33 157.0036 -17.26776 0.90838 156.2328 0.77078 0.594102 0.004909 75 0.858996 1.154006 0.006284 76 77 78 Question 79 1 Compare 4 methods of forecasting by looking MAD, MSE and MAPE (MA, ES and Rolling regression) 80 2 Which method gives the smallest predictive error? 81 82 T H A E World World 1 Demand GDP 2 Month YWRX YWR 3 121 2000:01:00 35331.46 116.9139 y 4 122 2000:02:00 35719.82 118.4366 5 123 2000:03:00 35903.04 118.6161 6 124 2000:04:00 36104.46 119.3893 Intercept (a Slope () E(y) MAD MSE MAPE 7 125 2001:01:00 36218 119.4937 25.16915 0.76057 119.4798 0.01387 0.000192 0.000116 8 126 2001:02:00 36329.52 119.9137 70.26935 0.39445 119.5756 0.3381 0.114312 0.00282 9 127 2001:03:00 36254.18 119.3714 69.58806 0.39972 119.9528 0.58138 0.338003 0.00487 10 128 2001:04:00 36193.41 119.5575 114.94496 0.03663 119.597 0.03947 0.001558 0.00033 11 129 2002:01:00 36280.6 120.3363 124.02296 -0.03509 119.5314 0.80486 0.6478 0.006688 12 130 2002:02:00 36453.83 121.1034 101.2575 0.14539 120.0128 1.09059 1.189387 0.009005 13 131 2002:03:00 36597.9 121.6534 43.31597 0.59748 120.9884 0.66503 0.442265 0.005467 14 132 2002:04:00 36714.03 121.9453 29.30299 0.70548 121.7209 0.22443 0.050369 0.00184 15 133 2003:01:00 36888.35 122.4259 51.08975 0.5377 122.0662 0.35975 0.12942 0.002939 16 134 2003:02:00 37022.08 123.4495 65.77089 0.42594 122.4209 1.02859 1.057997 0.008332 17 135 2003:03:00 37265.23 125.0727 44.6056 0.58689 123.2489 1.82384 3.326392 0.014582 18 136 2003:04:00 37590.52 126.4511 - 15.69408 1.04058 124.7842 1.66688 2.778489 0.013182 19 137 2004:01:00 37751.92 127.2079 -59.89906 1.36988 126.4046 0.80328 0.645259 0.006315 20 138 2004:02:00 37904.33 127.8853 -45.91098 1.26536 127.4433 0.44196 0.195329 0.003456 21 139 2004:03:00 38212.07 128.8461 1.14796 0.91946 128.0334 0.81266 0.660416 0.006307 22 140 2004:04:00 38395.81 129.6394 19.4896 0.78624 128.777 0.86244 0.743803 0.006653 23 141 2005:01:00 38517.35 130.8687| 14.05877 0.82553 129.633 1.23573 1.527029 0.009443 24 142 2005:02:00 38852.18 131.6712 -6.61195 0.97435 130.7714 0.8998 0.80964 0.006834 25 143 2005:03:00 39133.9 132.9088 -6.09328 0.97046 131.712 1.19676 1.432234 0.009004 26 144 2005:04:00 39470.22 133.7438 -18.86938 1.06107 132.8636 0.88017 0.774699 0.006581 27 145 2006:01:00 39825.33 134.9832 -8.2482 0.98629 133.7776 1.20564 1.453568 0.008932 28 146 2006:02:00 40031.09 135.3509 -21.2371 1.0771 134.9424 0.4085 0.166872 0.003018 29 147 2006:03:00 40178.18 135.4682 10.47231 0.85657 135.5315 0.06333 0.004011 0.000467 30 148 2006:04:00 40538.24 136.6787 54.26643 0.55409 135.7177 0.96104 0.923598 0.007031 31 149 2007:01:00 40881.43 137.2824 59.38458 0.52038 136.4008 0.88158 0.777183 0.006422 30 148 2006:04:00 40538.24 136.6787 31 149 2007:01:00 40881.43 137.2824 32 150 2007:02:00 41029.16 137.9686 33 151 2007:03:00 41234.14 138.4609 34 152 2007:04:00 41531.17 139.2864 35 153 2008:01:00 41529.68 138.9458 36 154 2008:02:00 41405.91 139.1613 37 155 2008:03:00 41161.01 138.0392 38 156 2008:04:00 40499.94 135.0234 39 157 2009:01:00 39582.66 132.2373 40 158 2009:02:00 39387.66 132.7201 41 159 2009:03:00 39506.57 133.0909 42 160 2009:04:00 39779.12 134.5148 43 161 2010:01:00 39987.79 135.2203 44 162 2010:02:00 40360.96 136.5649 45 163 2010:03:00 40559.11 137.8814 46 164 2010:04:00 40675.52 138.1222 47 165 2011:01:00 40808.4 137.5462 48 166 2011:02:00 40793.29 138.0537 49 167 2011:03:00 40799.01 138.8293 50 168 2011:04:00 40702.3 139.8503 51 169 2012:01:00 40726.66 141.0319 52 170 2012:02:00 40540.27 141.2133 53 171 2012:03:00 40415.33 141.3965 54.26643 0.55409 135./17 59.38458 0.52038 136.4008 32.8713 0.7005 137.2458 16.49171 0.81049 138.0652 47.40729 0.60328 138.5026 40.35986 0.65043 139.2252 81.74536 0.37571 139.229 112.11445 0.17606 139.2277 192.98381 -0.35261 138.3293 336.93211 -1.28893 135.859 506.01559 -2.37878 132.5471 427.83921 -1.87434 131.6935 216.97445 -0.53147 132.4707 18.96847 0.72033 134.2213 -8.45925 0.89245 135.2252 -43.74865 1.11275 136.5169 -48.78171 1.14444 137.762 -25.91355 1.00222 138.4505 85.45883 0.31847 138.0064 138.87307 -0.00591 137.892 94.63121 0.26288 138.5322 10.56634 0.76879 139.7231 -27.315 0.99556 140.9346 -0.18996 0.83336 141.4812 0.96104 0.923598 0.007031 0.88158 0.777183 0.006422 0.7228 0.52244 0.005239 0.39569 0.156571 0.002858 0.78383 0.614389 0.005627 0.27942 0.078076 0.002011 0.06769 0.004582 0.000486 1.18849 1.412508 0.00861 3.30586 10.92871 0.024484 3.62173 13.11693 0.027388 0.17297 0.029919 0.001303 1.39741 1.952755 0.0105 2.04408 4.178263 0.015196 0.99903 0.998061 0.007388 1.3397 1.794796 0.00981 1.36455 1.861997 0.009897 0.36019 0.129737 0.002608 0.90433 0.817813 0.006575 0.04732 0.002239 0.000343 0.93729 0.878513 0.006751 1.31813 1.737467 0.009425 1.30884 1.713062 0.00928 0.27866 0.077651 0.001973 0.08474 0.007181 0.000599 53 171 2012:03:00 40415.33 141.3965 -0.18996 0.83336 141.4812 0.08474 0.007181 0.000599 54 172 2012:04:00 40301.65 141.5432 59.174 0.482 141.596 0.0528 0.002788 0.000373 55 173 2013:01:00 40369.41 142.8436 112.01967 0.17171 141.5538 1.28981 1.66361 0.00903 56 174 2013:02:00 40561.64 143.3455 55.35431 0.50376 142.5048 0.84071 0.706793 0.005865 57 175 2013:03:00 40804.69 144.4784 18.98955 0.71474 143.3543 1.12409 1.263578 0.00778 58 176 2013:04:00 40904.96 145.2843 -18.43245 0.93075 144.4488 0.8355 0.69806 0.005751 59 177 2014:01:00 41079.5 145.5156 -3.5518 0.8455 145.2562 0.2594 0.067288 0.001783 60 178 2014:02:00 41186.29 146.2126 16.25664 0.73162 145.7534 0.45922 0.210883 0.003141 61 179 2014:03:00 41389.92 147.4719 49.46439 0.54339 146.1878 1.28409 1.648887 0.008707 62 180 2014:04:00 41556.33 148.2554 17.25965 0.72598 147.2101 1.04533 1.092715 0.007051 63 181 2015:01:00 41865.63 149.601 -22.33092 0.94787 148.2857 1.31532 1.730067 0.008792 64 182 2015:02:00 42391.57 150.4684 -48.64394 1.09487 149.5275 0.94087 0.885236 0.006253 65 183 2015:03:00 42288.29 150.826 -37.59938 1.03351 150.4994 0.32656 0.106641 0.002165 66 184 2015:04:00 42557.01 150.9317 -5.92478 0.85792 151.0746 0.14288 0.020415 0.000947 67 185 2016:01:00 42772.73 151.6612 71.07475 0.43497 151.1092 0.55197 0.304671 0.003639 68 186 2016:02:00 42913.49 152.3299 83.36859 0.36841 151.5244 0.80546 0.648766 0.005288 69 187 2016:03:00 43127.79 152.9715 54.73706 0.52412 152.2234 0.74812 0.559684 0.004891 70 188 2016:04:00 43448.75 153.5811 26.05432 0.67881 152.9918 0.58931 0.347286 0.003837 71 189 2017:01:00 43489.53 154.3204 33.25168 0.64013 153.5961 0.72428 0.524582 0.004693 72 190 2017:02:00 43870.67 155.2955 29.9051 0.65811 154.2879 1.00761 1.015278 0.006488 73 191 2017:03:00 44082.91 156.284 8.68412 0.77113 155.1988 1.08518 1.177616 0.006944 74 192 2017:04:00 44218.33 157.0036 -17.26776 0.90838 156.2328 0.77078 0.594102 0.004909 75 0.858996 1.154006 0.006284 76 77 78 Question 79 1 Compare 4 methods of forecasting by looking MAD, MSE and MAPE (MA, ES and Rolling regression) 80 2 Which method gives the smallest predictive error? 81 82
Step by Step Solution
There are 3 Steps involved in it
Get step-by-step solutions from verified subject matter experts
