Question: TABLE 14-5 ATTENUATION COEFFICIENTS FOR SELECTED TISSUES AT 1 MHz TISSUE COMPOSITION ATTENUATION COEFFICIENT (1-IVIHZ BEAM, (TB/cm) Water 0.0002 Wood 018 Soft tissues 0.30.8 Brain



![Bone, cortical 1326 Lung 40 Problem 5 (21] points}. Similar to the](https://dsd5zvtm8ll6.cloudfront.net/si.experts.images/questions/2024/09/66f6df21dc927_00966f6df21c5526.jpg)
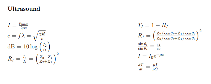
TABLE 14-5 ATTENUATION COEFFICIENTS FOR SELECTED TISSUES AT 1 MHz TISSUE COMPOSITION ATTENUATION COEFFICIENT (1-IVIHZ BEAM, (TB/cm) Water 0.0002 Wood 018 Soft tissues 0.30.8 Brain 0.30.5 Liver 0.40.7 Fat 0.51.8 Smooth muscle 0.20.6 Tendon 0.91.1 Bone, cortical 1326 Lung 40 Problem 5 (21] points}. Similar to the exercise from class, sketch a sernilog plot5 of the resultant echo train from a 2 MHZ pulse delivered to the phantom in the gure: 1 cm of soft tissue, 1 cm of blood, and 0.25 cm of skull bone. Relevant data pertaining to the various tissues can he found in the lecture slides and in the course equation sheet. Transducer 11:11 Blood 0.25 cm Skull Bone "Semilog scale plots time on the r-axis and log(signal) on the y-axis. Kind of makes you want to use decibels for this problem, huh??\f
Step by Step Solution
There are 3 Steps involved in it
Get step-by-step solutions from verified subject matter experts
