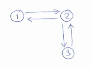
Question: Taking the jumping probability =0.3, compute PageRank for the graph on the right.
Taking the jumping probability =0.3, compute PageRank for the graph on the right.

Step by Step Solution
There are 3 Steps involved in it
1 Expert Approved Answer
Step: 1 Unlock
Question Has Been Solved by an Expert!
Get step-by-step solutions from verified subject matter experts
Step: 2 Unlock
Step: 3 Unlock
