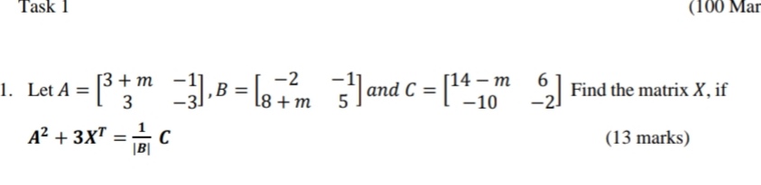
Question: Task 1 (100 Mar 1. Let A = 3 +m -1] 3 , B = 8 +m -2 -and C = [14 - m 6
![Task 1 (100 Mar 1. Let A = 3 +m -1]](https://dsd5zvtm8ll6.cloudfront.net/si.experts.images/questions/2024/10/6703f85ac2bc1_4346703f85aaeaf0.jpg)
Task 1 (100 Mar 1. Let A = 3 +m -1] 3 , B = 8 +m -2 -and C = [14 - m 6 10 2 Find the matrix X, if A2 + 3XT = C B (13 marks)
Step by Step Solution
There are 3 Steps involved in it
Get step-by-step solutions from verified subject matter experts
