Question: Task 1 : A new dive roller coaster is to be created, called the 4 U Striker. Sketch a graph that could model the
Task : A new dive roller coaster is to be created, called the U Striker". Sketch a graph that could model the path of the new U Striker" rollercoaster over its first seconds in motion. Let x represent time seconds since the ride begins at the launching ramp Let y represent the height of the roller coaster ride in relation to the launching ramp feet
Your model must include the following:
The launching ramp is ft above the ground
The coaster must climb at least twice in a second interval.
As its first thrill, the coaster will drop down from the launching ramp.
It reaches a height of ft above the launching ramp after seconds A local maximum at a height of ft above the launching ramp
Contains at least positive intervals and negative intervals
The coaster does not always reach the same height with each climb and drop. Task : Determining the equation of a function to model the path of the rollercoaster.
What type of function could model the coaster's height above the launching ramp? circle one
Rational
Quadratic
Logarithmic
Sinusoidal
Polynomial
Give reasons for your choice?
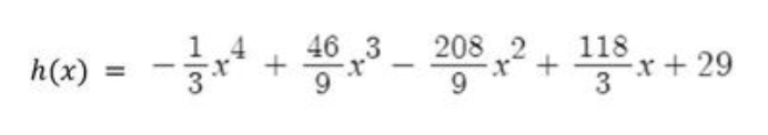
What information do you need in order to write the equation of a function that could model the coaster's path? Determine the equation of your model that will pass through the point Show all your work.Task : Another coaster at the amusement park follows a path given by the equation listed below. During what times within the first seconds of the ride, will the coaster be above a height of feet from its launching ramp?
Step by Step Solution
There are 3 Steps involved in it
1 Expert Approved Answer
Step: 1 Unlock
Question Has Been Solved by an Expert!
Get step-by-step solutions from verified subject matter experts
Step: 2 Unlock
Step: 3 Unlock
