Question: Tesla Customer Relationship Management Process Purpose , Scope, input , Boundaries, Flow, Output SAMPLE BUSINESS PROCESS DOCUMENT Tesla CRM Process Name of Process: Process Owner:

Tesla Customer Relationship Management Process Purpose , Scope, input , Boundaries, Flow, Output
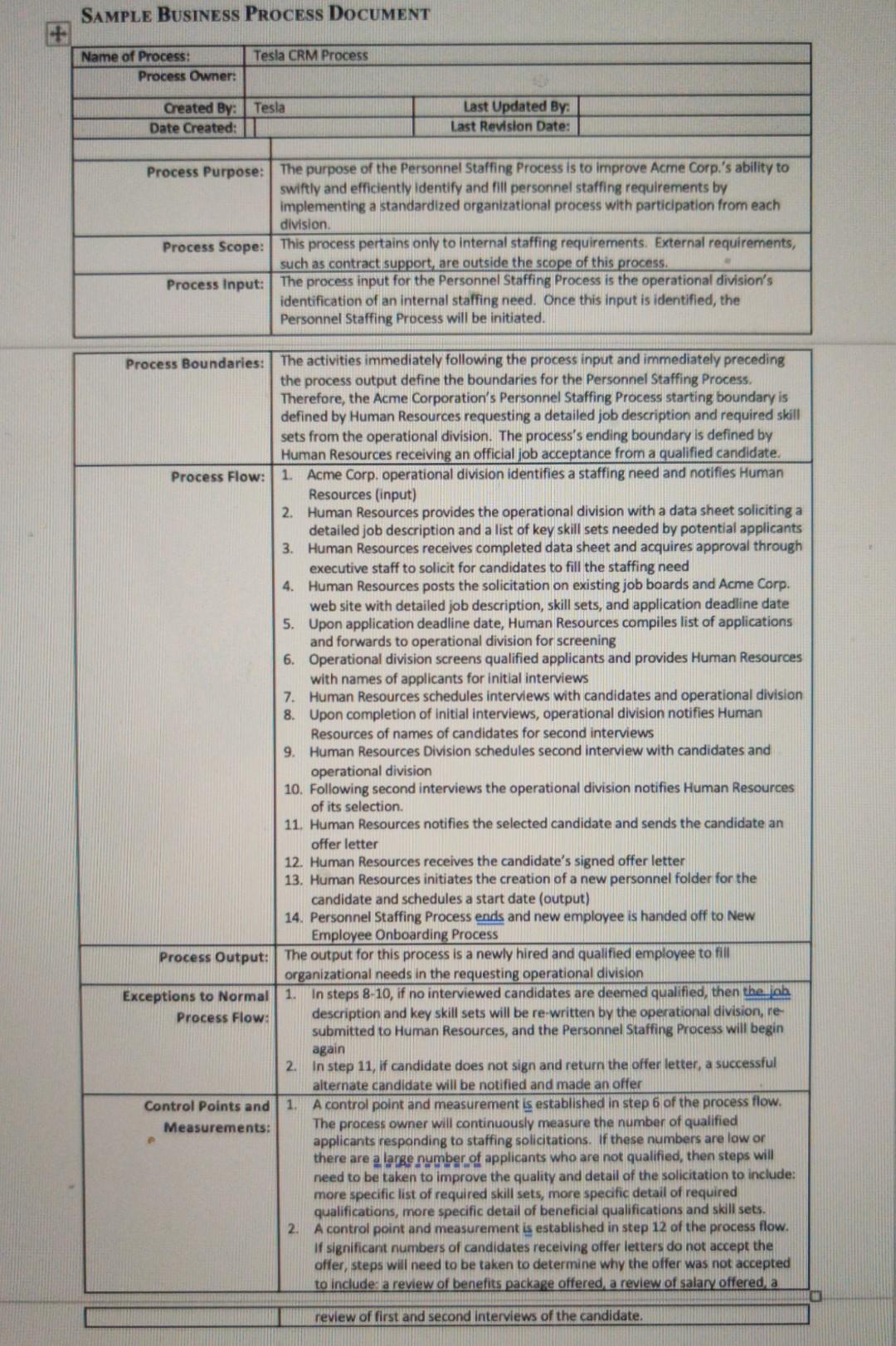
SAMPLE BUSINESS PROCESS DOCUMENT Tesla CRM Process Name of Process: Process Owner: Created By: Tesla Date Created: Last Updated By: Last Revision Date: Process Purpose: The purpose of the Personnel Staffing Process is to improve Acme Corp.'s ability to swiftly and efficiently identify and fill personnel staffing requirements by implementing a standardized organizational process with participation from each division Process Scope: This process pertains only to internal staffing requirements. External requirements, such as contract support, are outside the scope of this process. Process Input: The process input for the Personnel Staffing Process is the operational division's identification of an internal staffing need. Once this input is identified, the Personnel Staffing Process will be initiated. Process Boundaries: The activities immediately following the process input and immediately preceding the process output define the boundaries for the Personnel Staffing Process Therefore, the Acme Corporation's Personnel Staffing Process starting boundary is defined by Human Resources requesting a detailed job description and required skill sets from the operational division. The process's ending boundary is defined by Human Resources receiving an official job acceptance from a qualified candidate. Process Flow: 1. Acme Corp. operational division identifies a staffing need and notifies Human Resources (input) 2. Human Resources provides the operational division with a data sheet soliciting a detailed job description and a list of key skill sets needed by potential applicants 3. Human Resources receives completed data sheet and acquires approval through executive staff to solicit for candidates to fill the staffing need 4. Human Resources posts the solicitation on existing job boards and Acme Corp. web site with detailed job description, skill sets, and application deadline date 5. Upon application deadline date, Human Resources compiles list of applications and forwards to operational division for screening 6. Operational division screens qualified applicants and provides Human Resources with names of applicants for initial interviews 7. Human Resources schedules interviews with candidates and operational division 8. Upon completion of initial interviews, operational division notifies Human Resources of names of candidates for second interviews 9. Human Resources Division schedules second interview with candidates and operational division 10. Following second interviews the operational division notifies Human Resources of its selection. 11. Human Resources notifies the selected candidate and sends the candidate an offer letter 12. Human Resources receives the candidate's signed offer letter 13. Human Resources initiates the creation of a new personnel folder for the candidate and schedules a start date (output) 14. Personnel Staffing Process ends and new employee is handed off to New Employee Onboarding Process Process Output: The output for this process is a newly hired and qualified employee to fill organizational needs in the requesting operational division Exceptions to Normal 1. In steps 8-10, if no interviewed candidates are deemed qualified, then the oh Process Flow: description and key skill sets will be re-written by the operational division, re- submitted to Human Resources, and the Personnel Staffing Process will begin again 2. Instep 11, if candidate does not sign and return the offer letter, a successful alternate candidate will be notified and made an offer Control Points and 1. A control point and measurement is established in step 6 of the process flow Measurements: The process owner will continuously measure the number of qualified applicants responding to staffing solicitations. If these numbers are low or there are a large number of applicants who are not qualified, then steps will need to be taken to improve the quality and detail of the solicitation to include: more specific list of required skill sets, more specific detail of required qualifications, more specific detail of beneficial qualifications and skill sets, 2. A control point and measurement is established in step 12 of the process flow. If significant numbers of candidates receiving offer letters do not accept the offer, steps will need to be taken to determine why the offer was not accepted to include: a review of benefits package offered a review of salary offered a review of first and second interviews of the candidateStep by Step Solution
There are 3 Steps involved in it
Get step-by-step solutions from verified subject matter experts
