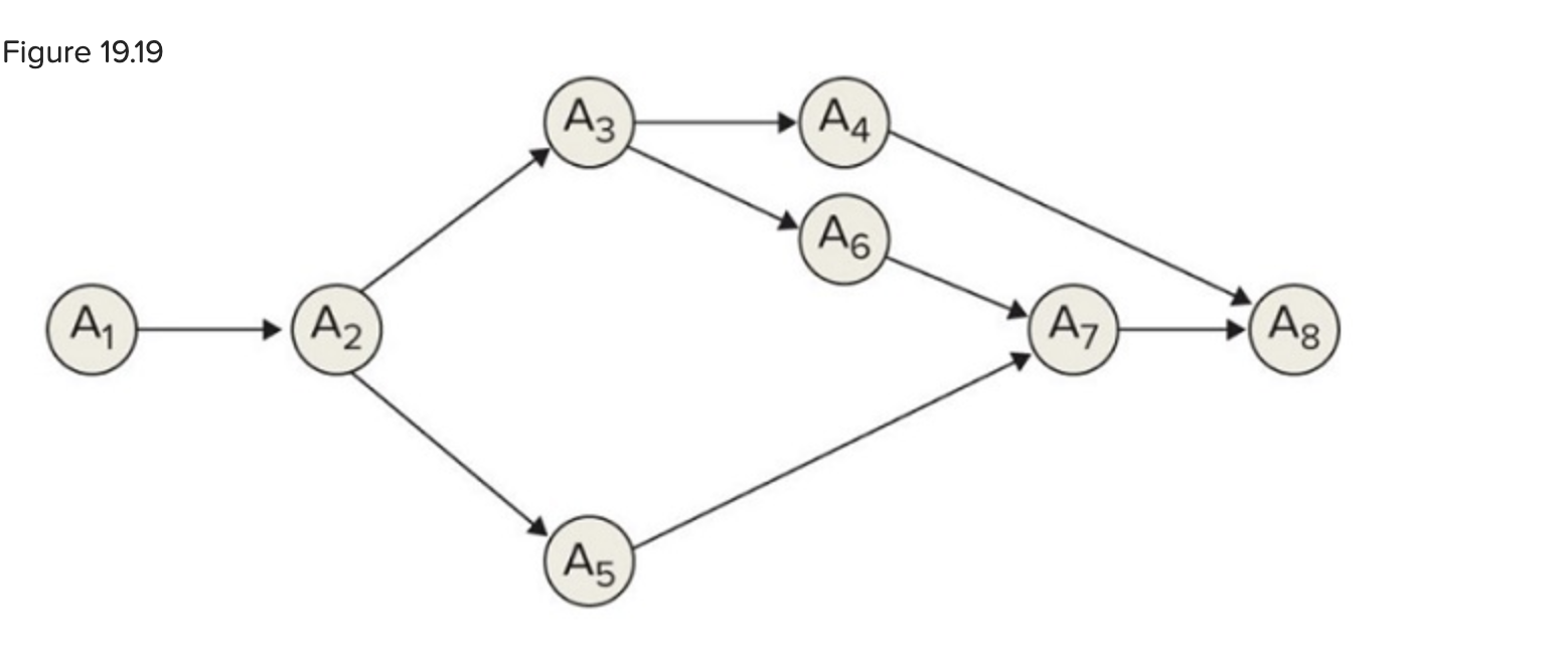
Question: The activity times are 3, 4, 2, 5, 7, 2, 2, and 3 days for activities A1A1 through A8A8 , respectively. What is the critical

The activity times are 3, 4, 2, 5, 7, 2, 2, and 3 days for activities A1A1 through A8A8 , respectively. What is the critical path?
multiple choice
- A1, A2, A3, A4, A8
- A1, A2, A3, A6, A7, A8
- A1, A2, A5, A7, A8
- None of these options are the critical path
F
Step by Step Solution
There are 3 Steps involved in it
1 Expert Approved Answer
Step: 1 Unlock
Question Has Been Solved by an Expert!
Get step-by-step solutions from verified subject matter experts
Step: 2 Unlock
Step: 3 Unlock
