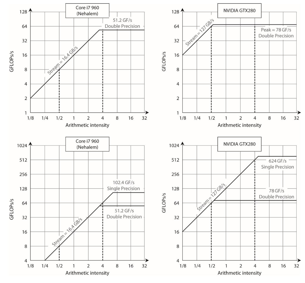
Question: The dashed lines represent two different Kernels with Arithmetic intensity of and 4. According to the roofline diagrams of 4 popular processors, where the two
The dashed lines represent two different Kernels with Arithmetic intensity of and 4.

According to the roofline diagrams of 4 popular processors, where the two at the top refer to single precision and the two at the bottom to double precision operations determine
a) The Peak performance in GFLOPS/sec and the peak memory bandwidth. (5 points)
b) which kernels and in what processors should focus on computation optimizations and which ones on memory bandwidth optimizations. (5 points)
Core i7 960 (Nehalem) 128 128 NVIDIA GTX280 51.2 GF/s Double Precision Peak = 78 GF/s Double Precision 32 32 16 4 4 1/8 1/4 1/21 4 8 16 32 1/8 1/4 1/2 1 4 8 16 32 Arithmetic intensity Arithmetic intensity Core i7 960 (Nehalem) NVIDIA GTX280 1024 1024 512 512 624 GF/s Single Precision 256 256 102.4 GF/s Single Precision 128 128 78 GF/s Double Precision 64 O 64 51.2 GF/s Double Precision 32 32 16 16 4 4 1/8 1/4 1/2 1 8 16 32 1/8 1/4 1/2 1 4 8 16 32 Arithmetic intensity Arithmetic intensity
Step by Step Solution
There are 3 Steps involved in it
Get step-by-step solutions from verified subject matter experts
