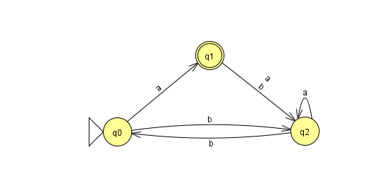
Question: The dfa M in Jexercise2.6 accepts the string w = a. Modify M to create a new automaton M0, so that L(M0) = L(M) {a}.
The dfa M in Jexercise2.6 accepts the string w = a. Modify M to create a new automaton M0, so that L(M0) = L(M) {a}.

Step by Step Solution
There are 3 Steps involved in it
Get step-by-step solutions from verified subject matter experts
