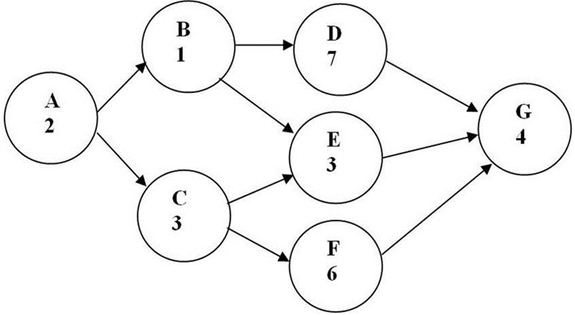
Question: The figure below is an Activity on Arrow (AOA) network diagram for a project. The lettered A through G represents an activity as shown in
The figure below is an Activity on Arrow (AOA) network diagram for a project. The lettered A through G represents an activity as shown in the accompanying precedence diagram. The deterministic time for each activity is in the node. Please answer the following questions:
1) Which path is the critical path? What is the length of the expected time of the project?
2) Determine the following quantities for each activity: the earliest start time, the latest start time, the earliest finish time and the latest finish time and the slack time. Please present your answer in a table.
Step by Step Solution
There are 3 Steps involved in it
1 Expert Approved Answer
Step: 1 Unlock
Question Has Been Solved by an Expert!
Get step-by-step solutions from verified subject matter experts
Step: 2 Unlock
Step: 3 Unlock
