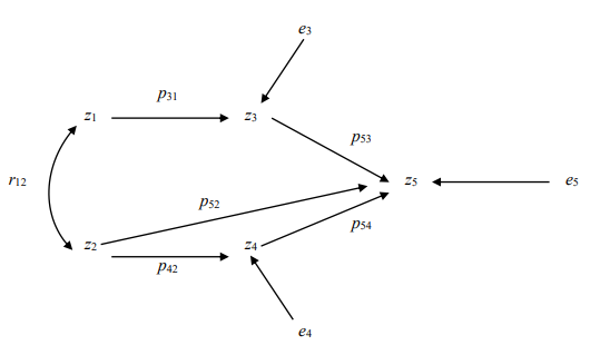
Question: The following exercises utilize the path model depicted below as well as the data set country-c.sav. Specifically, the variables of lndocs (z1), lngdp (z2), deathrat
The following exercises utilize the path model depicted below as well as the data set country-c.sav. Specifically, the variables of lndocs (z1), lngdp (z2), deathrat (z3), birthrat (z4), and lifeexpf (z5) will be utilized.
Determine the path decompositions for the model. Be sure to label which are direct (D), indirect (I), unanalyzed (U), and spurious (S).

Step by Step Solution
There are 3 Steps involved in it
Get step-by-step solutions from verified subject matter experts
