Question: The following information regarding a dependent variable Y and an independent variable X is provided Required: 1. Compute the total sum of squares (SST). 2.
The following information regarding a dependent variable Y and an independent variable X is provided

Required:
1. Compute the total sum of squares (SST).
2. Compute the sum of squares due to error (SSE).
3. Compute the mean square error (MSE).
4. Compute the slope of the regression equation.
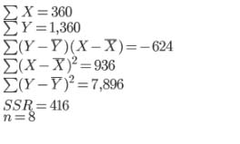
= 360 =1,360 ( -)(X-X)=-624 (X-X)2 = 936 ( -)? = 7,896 SSR = 416 =8Step by Step Solution
There are 3 Steps involved in it
Get step-by-step solutions from verified subject matter experts
