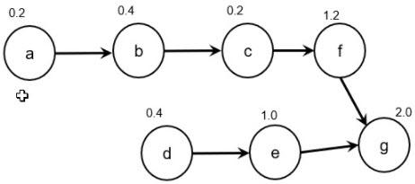
Question: The following precedence network is used for assembling a product. You have been asked to achieve an output of 240 units per eight-hour day. All

The following precedence network is used for assembling a product. You have been asked to achieve an output of 240 units per eight-hour day. All times in this network are in minutes.
A) Balance the line using the following rule: assign tasks to workstations on the basis of most following tasks (Rule 1). Use greatest positional weight (Rule 2) as a tiebreaker. What is the utilization (%) of the worker in the workstation 2?
Options : 100, 50, 30, 67.5, 60,40, none of above
B) Balance the line using the following rule: assign tasks to workstations on the basis of most following tasks (Rule 1). Use greatest positional weight (Rule 2) as a tiebreaker. What is the first activity assigned to workstation 3?
Options: f, e, a, b, d, c, none of above
C) Balance the line using the following rule: assign tasks to workstations on the basis of most following tasks (Rule 1). Use greatest positional weight (Rule 2) as a tiebreaker. What is the utilization (%) of the worker in the workstation 3?
Options: 60,40, 100, 67.5, 50, 30, none of above
0.2 0.4 0.2 1.2 a a b 0.4 1.0 2.0 d gStep by Step Solution
There are 3 Steps involved in it
Get step-by-step solutions from verified subject matter experts
