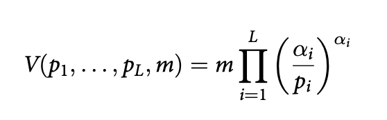
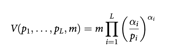
Question: The indirect utility function is given by the following equation. v mfl

The indirect utility function is given by the following equation.

v mfl
Step by Step Solution
There are 3 Steps involved in it
Get step-by-step solutions from verified subject matter experts
