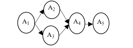
Question: The network diagram and task times for a project are shown below. Task / Duration ( days ) A 1 2 A 2 5 A
The network diagram and task times for a project are shown below.
Task Duration days
A
A
A
A
A
Step by Step Solution
There are 3 Steps involved in it
1 Expert Approved Answer
Step: 1 Unlock
Question Has Been Solved by an Expert!
Get step-by-step solutions from verified subject matter experts
Step: 2 Unlock
Step: 3 Unlock
