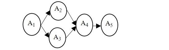
Question: The network diagram and task times for a project are shown below. %media:node_jpg.ext% Task Duration (days) A1 1 7 A2 A3 4 4 A4 As
Step by Step Solution
There are 3 Steps involved in it
1 Expert Approved Answer
Step: 1 Unlock
Question Has Been Solved by an Expert!
Get step-by-step solutions from verified subject matter experts
Step: 2 Unlock
Step: 3 Unlock
