Question: The Piper Cherokee, a light, single - engine general aviation aircraft, has a wing area of 1 7 0 f t 2 and a wingspan
The Piper Cherokee, a light, singleengine general aviation aircraft, has a wing area of and a wingspan of ft Its maximum gross weight is lb The wing uses an NACA airfoil, which has a lift slope of degree and Assuming if the airplane is cruising at at standard sea level at its maximum gross weight in straightandlevel flight, calculate the geometric angle of attack of the wing.
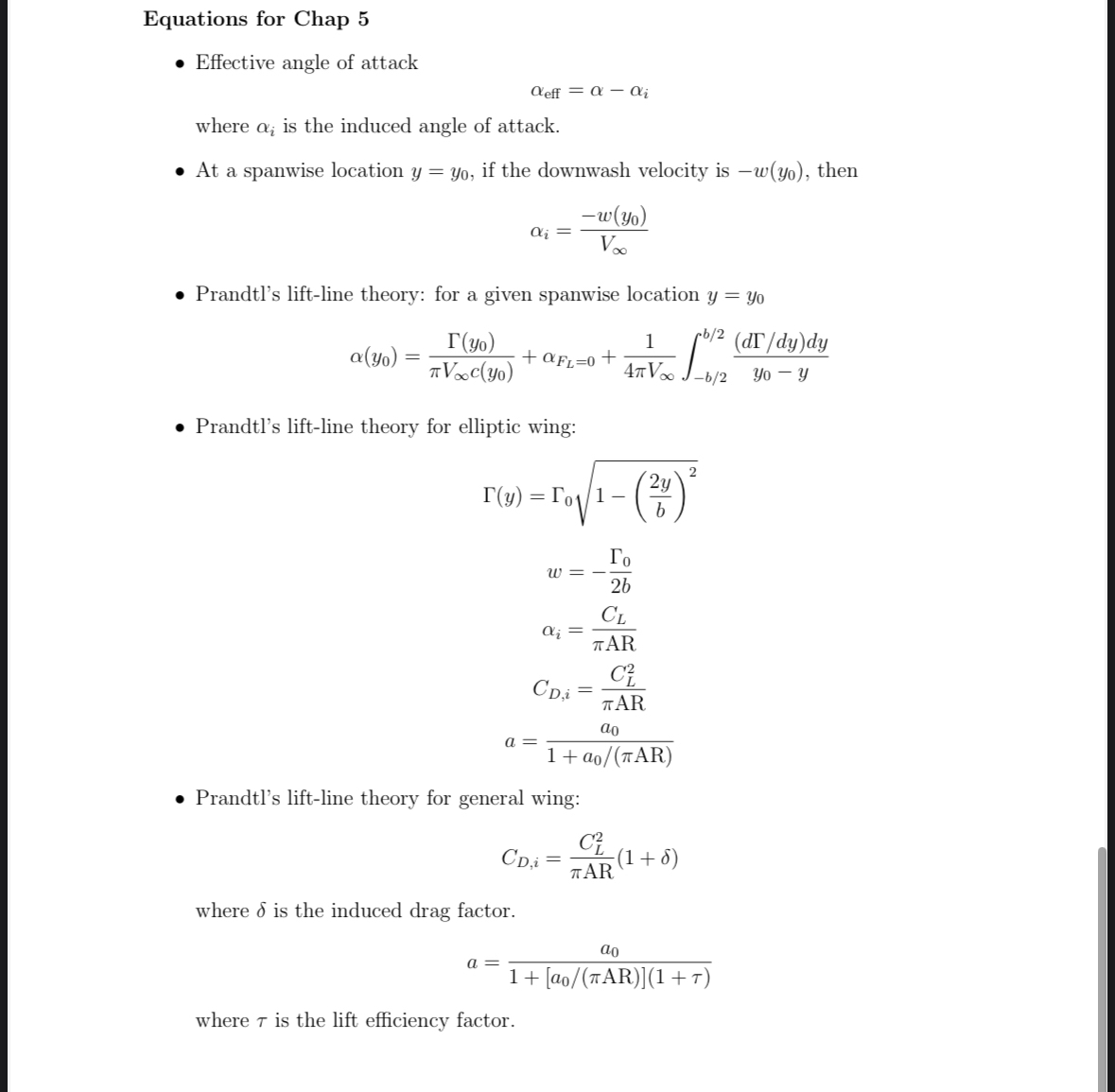
Equations for Chap
Effective angle of attack
where is the induced angle of attack.
At a spanwise location if the downwash velocity is then
Prandtl's liftline theory: for a given spanwise location
Prandtl's liftline theory for elliptic wing:
Prandtl's liftline theory for general wing:
where is the induced drag factor.
where is the lift efficiency factor.
Step by Step Solution
There are 3 Steps involved in it
1 Expert Approved Answer
Step: 1 Unlock
Question Has Been Solved by an Expert!
Get step-by-step solutions from verified subject matter experts
Step: 2 Unlock
Step: 3 Unlock
