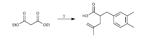
Question: The problem below require you to present a synthetic scheme that can be used to produce the target molecule from the given starting material. The
The problem below require you to present a synthetic scheme that can be used to produce the target molecule from the given starting material. The target can be synthesized using chemical reactions you have learned up to this point in the year and will require at least two separate synthetic NOT mechanistic! steps to produce from the given starting material. Any specific stereo or regiochemical concerns must be addressed during the synthesis. You must use the given starting material, but any other carbons that must be added can come from any compound. Answers should be a complete, clearly presented, and correct explanation of the question being posed.
Step by Step Solution
There are 3 Steps involved in it
1 Expert Approved Answer
Step: 1 Unlock
Question Has Been Solved by an Expert!
Get step-by-step solutions from verified subject matter experts
Step: 2 Unlock
Step: 3 Unlock
