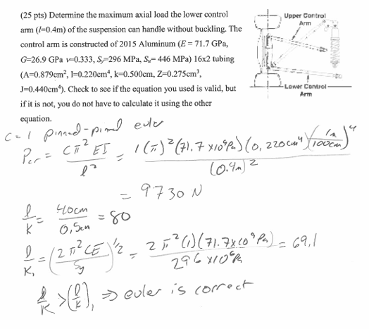
Question: The problem is worked out already. Please explain the equations used and identify the variables. Thank you!
The problem is worked out already. Please explain the equations used and identify the variables. Thank you!
Step by Step Solution
There are 3 Steps involved in it
1 Expert Approved Answer
Step: 1 Unlock
Question Has Been Solved by an Expert!
Get step-by-step solutions from verified subject matter experts
Step: 2 Unlock
Step: 3 Unlock
