Question: The problem of linear programming and its final table is as follows. Desirable: A) Calculate the coefficients of the decision variables in the objective function
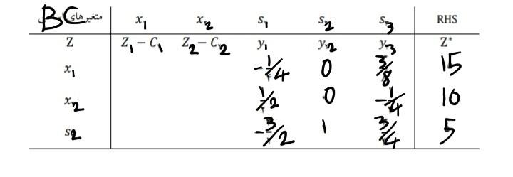
The problem of linear programming and its final table is as follows. Desirable: A) Calculate the coefficients of the decision variables in the objective function in the final table. B) Calculation of shadow prices. C) Calculate the value of the objective function in the final table. = 101 + 112 : 21 + 32 60 32 45 41 + 22 80 1, 2 0

Ba Is s RHS x x Z Y s Z 1x 0 0 15 10 5 2 1 se
Step by Step Solution
There are 3 Steps involved in it
Get step-by-step solutions from verified subject matter experts
