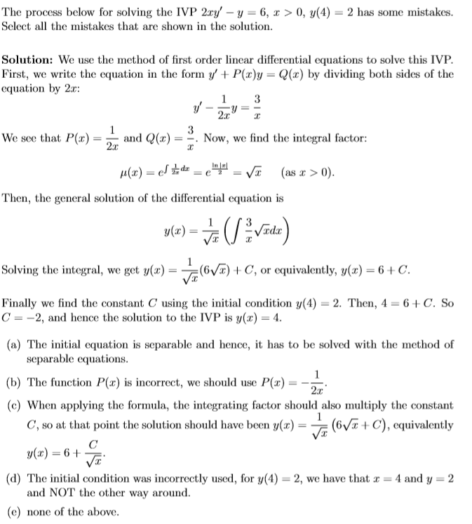
Question: The process below for solving the IVP Note: you can have more than one answer The process below for solving the [VP 21:3.rt y =
The process below for solving the IVP
Note: you can have more than one answer

The process below for solving the [VP 21:3.rt y = 6, x > 0, y[4] = 2 has some nstakm. Select all the mistakes that are shown in the solution. Solution: We use the method of rst order linear differential equations to solve this NP. First, we write the equation in the form y' + P(:I:)y = (9(3) by dividing both sides of the equation by 2st: 1 3 y' ' n = ; l 3 We see that P(:.':) = E and (2(3) = 5. Now, we nd the integral factor: p{$]=eI5i-'\"=el_ni=\\/E (330). Then, the general solution of the differential equation is mmes/2m) Solving the integral, we get 9(3) = lmy/5] + C. or equivalently. y(::) = B + 0. Finally we nd the constant C using the initial condition y(4} = 2. Then, 4 = 6 + C. 50 C = 2, and hence the solution to the WP is at) = 4. (a) The initial equation is separable and hence, it has to be solved with the method of separable equations. i 23' (c) When applying the formula, the integrating factor shouldlalso multiply the constant C, so at that point the solution should have been y(::) = E (6J5 + C), equivalently y(:|:) =6+70m (b) The function He) is incorrect, we should use Pm) = a: (d) The initial condition was incorrectly used, for y(4) = 2, we have that z = 4 and y = 2 and NOT the other way around. (e) none of the above
Step by Step Solution
There are 3 Steps involved in it
Get step-by-step solutions from verified subject matter experts
