Question: The Question and answer are both given below. The query I have is regarding the answer given, specifically as underlined in RED below: 1. Firstly,


The Question and answer are both given below. The query I have is regarding the answer given, specifically as underlined in RED below:
1. Firstly, I suspect thath(x)=y4 is a misprint and should in fact be shown ash(y)=y4 Is that correct?
2. Explain how the functionh has a minimum, but no maximum ? If indeed the functionh is h(y)=y4, thenh has neither a maximum nor a minimum. If the function is defined as h(x)=y4, then when I attempt to view the graph on desmos, nothing appears
Question
Find and classify the local maximum, local minimum for the function:f(x,y)=x4+y4?x3 ?
Furthermore, are any of the local optima global optima ?
Answer


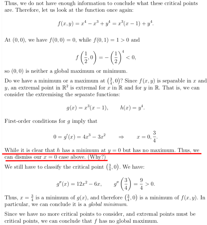
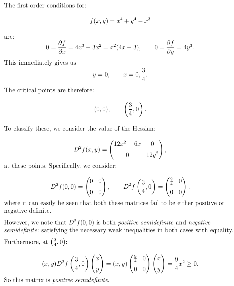
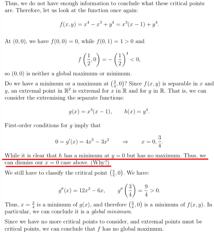
The first-order conditions for: f(x, y ) = atty -23 are: 0 = - of = 4x3 - 3x2 = x2 (4.x - 3), of 0 = - ay = 4y3. This immediately gives us y = 0, r = 0, - The critical points are therefore: (0, 0), (0) To classify these, we consider the value of the Hessian: 12.x2 - 6x 0 D' f (x, y) = 0 1242 at these points. Specifically, we consider: D2 f(0, 0) - (0 8). D24 (20) - (6 8) . where it can easily be seen that both these matrices fail to be either positive or negative definite. However, we note that D2 f(0, 0) is both positive semidefinite and negative semidefinite: satisfying the necessary weak inequalities in both cases with equality. Furthermore, at (3, 0) 9 20. So this matrix is positive semidefinite.Thus, we do not have enough information to conclude what these critical points are. Therefore, let us look at the function once again: Hang) = :r\" :r3 +3.31 =s3[e 1) +194. At (0,0), we have f(0,[l) = 0, while t], 1) = 1 3:- 0 and f(%=u)=-(%Y~==m so [0, D) is neither a global maximum or minimum. Do we have a minimum or a maximum at (E, 0)? Since x, y) is separable in I and 3:, an extremal point in R2 is extremal for :r: in IR and for y in R. That is, we can consider the extremising the separate functions: g(I)=Ia(I-1), Mr) = a First-order conditions for g implyr that 3 U=g'{:r)=4I33:r: 2} 20,4. 1While it is clear that It has a minimum at ', = 0 but has no maximum. Thus we - iamiss our :2: = 0 case above. We still have to classify the critical point (g, D). We have: 3 9 I = 12 2 6 \"I = U. Thus, a: = E is a minimum of g[m), and therefore (4;, U] is a minimum of f(.1',y]. In particular, we can conclude it is a global minimum. Since we have no more critical points to consider, and extremal points must be critical points, we can conclude that f has no global maximum
Step by Step Solution
There are 3 Steps involved in it
Get step-by-step solutions from verified subject matter experts
