Question: The Question is about 'Queueing Theory M/M/C and M/G/1 model'. . Special case in M/M/C model formula . Special case in M/G/1 model formula La
The Question is about 'Queueing Theory M/M/C and M/G/1 model'.
. Special case in M/M/C model
formula

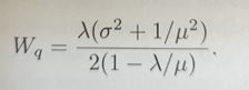
. Special case in M/G/1 model
formula


La p(cp)(0) c!(1 - p) W, 1(02 + 1/2) 2(1 - 1) would 7. Show that the formula for Le for the M/M/c queue in Section 2.3 includes the M/M/1 as a special case. 8. Show that the formula for W, for the M/G/1 queue in Section 2.3 in. cludes the M/M/1 as a special case. Hint: The standard deviation of an exponential distribution with mean is 8... again, quite discoverable by calculus or a web search (for the mathematically slothful)
Step by Step Solution
There are 3 Steps involved in it
Get step-by-step solutions from verified subject matter experts
