Question: The question is attached below. Note: this is all that the question comes with! PLEASE TRY TO DO THIS QUESTION AS SOON AS POSSIBLE AS
The question is attached below. Note: this is all that the question comes with! PLEASE TRY TO DO THIS QUESTION AS SOON AS POSSIBLE AS IT IS VERY URGENT!!!

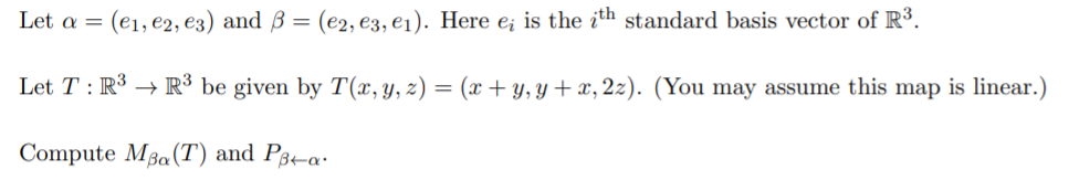
Let a = (81, 82,83) and 13 = (62,83, 81]. Here 3.- is the ith standard basis vector of R3. Let T : R3 ) R3 be given by T(:c,y,z] = (a: + y, y + 33,22). (You may assume this map is linear.) Compute M341") and Pia
Step by Step Solution
There are 3 Steps involved in it
Get step-by-step solutions from verified subject matter experts
