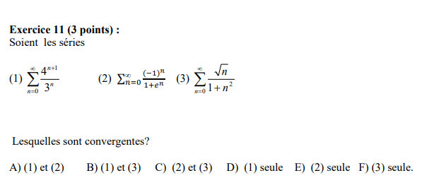
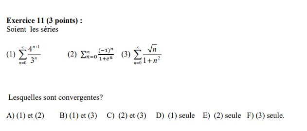
Question: the question translation is below : Exercice 11 (3 points) : Soient les series 40+1 (1) (-1)h (2) En=often (3) E 3 Lesquelles sont convergentes?


the question translation is below :


Exercice 11 (3 points) : Soient les series 40+1 (1) (-1)h (2) En=often (3) E 3" Lesquelles sont convergentes? A) (1) et (2) B) (1) et (3) C) (2) et (3) D) (1) seule E) (2) seule F) (3) seule.Exercise 11 (3 points) : Let the series be a: 4m! (_ VI '4\" at: J; m? .. emuelsygm Which ones are convergent? A) (1) and (2) B) (1) and (3) C) (2) and (3) D) (1) alone E) (2) alone F) (3) alone
Step by Step Solution
There are 3 Steps involved in it
Get step-by-step solutions from verified subject matter experts
