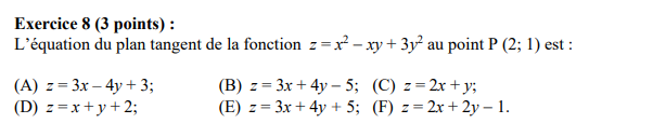
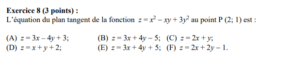
Question: the question translation is below : fExercise 8 (3 points) : ' The equation of the tangent plane of the function z = x2 -


the question translation is below :


\fExercise 8 (3 points) : ' The equation of the tangent plane of the function z = x2 - xy+ 3y2 at the point P (2; 1) is : (A) z = 3x-4y+ 3; (B) z =3X+4y 5; (C) z=2x+y; (D) z=x+y+2; (E) z = 3x+ 4y+ 5; (F) 2 = 2x+ 2y 1
Step by Step Solution
There are 3 Steps involved in it
Get step-by-step solutions from verified subject matter experts
