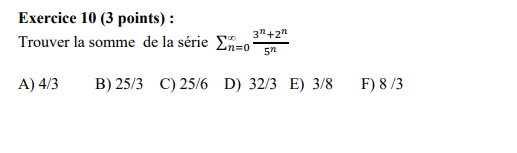
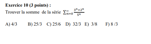
Question: the question translation is below : Exercice 10 (3 points) : Trouver la somme de la Srie B) 25/3 C) 25/6 D) 32/3 E) 3/8


the question translation is below :


Exercice 10 (3 points) : Trouver la somme de la Srie B) 25/3 C) 25/6 D) 32/3 E) 3/8 08/3
Step by Step Solution
There are 3 Steps involved in it
Get step-by-step solutions from verified subject matter experts
