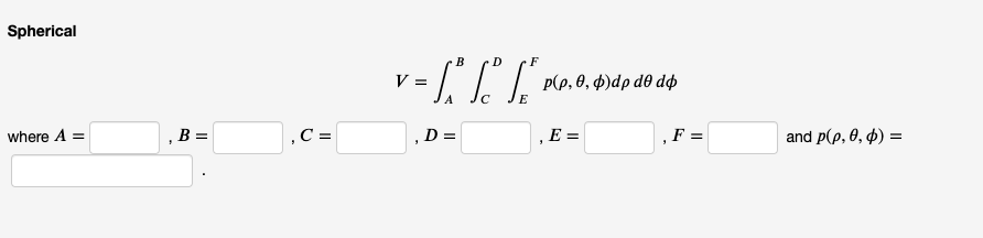
Question: The region is a cone, z = vx- + ) , topped by a sphere of radius 3. Find the limits of integration on the




The region is a cone, z = vx- + ) , topped by a sphere of radius 3. Find the limits of integration on the triple integral for the volume of the snowcone using Cartesian, cylindrical, and spherical coordinates and the function to be integrated. For your answers @ = theta, c = phi, and p = rho. Cartesian v = p(x, y, z) dzdydx where A = . B = , C = D = E = F = p(x, y, Z) = and Cylindrical v = [ le l, pur.0, z )dz dr de where A = B = D = E = F= and p(r, 0, z) =
Step by Step Solution
There are 3 Steps involved in it
Get step-by-step solutions from verified subject matter experts
