Question: The second case we are working on is St. Galen Hospital: Variance Analysis and the Balanced Scorecard .The case takes place in Australia and is
The second case we are working on isSt. Galen Hospital: Variance Analysis and the Balanced Scorecard.The case takes place in Australia and is a nice opportunity to examine the cost structure of a hospital and also to apply Balanced Scorecard concepts.Note that a lot of the information that you need is in the Appendices.This is not 'extra' or background material.We will discuss this case immediately following the balanced scorecard discussion.
Orthopedic Unit Flexible Budget Blank
Questions:
1a. What amount of revenue will St George Hospital receive?(see Appendix C)
1b. Determine whether the Orthopedic Unit can meet demand for arthroscopy and total hip replacement surgery.(The case discussion is important to read here. There is quite a difference between overall patient demand and budgeted capacity.You need the DRG (diagnosis related group) cost weight data in Appendix B)
Demand Hip Replacements (using patient numbers)
Supply = 10/week
Demand = 1,500/year or 28.85/week
Demand of 28.85/week exceeds supply of 10/ week
Demand Hip Replacements using WACUs:
Supply = 41.74 WACUs (10 patients/week x 4.1742 DRG cost weight)
Annual Demand = 6,261.30 WACUs (1,500 patients x 4.1742 DRG cost weight)
Weekly Demand(6,261.30 / 52 weeks) = 120.41
Demand of 120.41 exceeds supply of 41.74
You can complete the demand for Knee Surgery
1c. Is the unit over or under budget?
(Actual results are in Table 2. You'll need to review the case discussion in the St. Galen's Orthopedic Unit section.The remaining data is found in Tables 2 and 3)
2a. Make a flexible budget for the St. Galen's Hospital Orthopedic Unit
(See Appendix B) Remember that the volume measure WACU does NOT represent the number of patients but rather is the equivalent weight.1 hip patient = 4.1742 WACUs x $4,993 for example)
2b. Identify the following efficiency and effectiveness variancesAND describe what they meanfor the Orthopedic Unit: (Note: these variances are thetotalvariances, not the variances taken apart the way we did in class.They look simple because they are)
- Total sales variance for funds received
- Total variable cost variance
- Total fixed cost variance
- Total volume variance
2c..Calculate the following effectiveness variances and explain what they meanfor the Orthopedic Unit:
- Market size variance
- Market share variance
- Patience mix variance
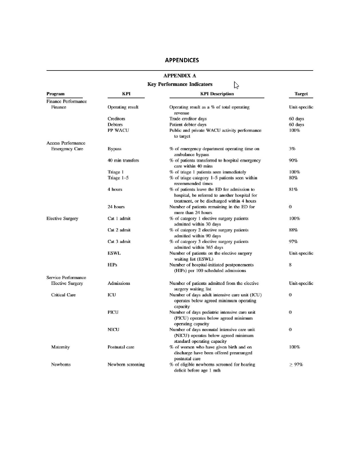
3. In addition to the CEO daily scorecard, develop a series of performance measures for use within the Orthopedic Unit to ensure thatclinical unit managers meet broader effectiveness expectations related to patient access to hospital treatment and quality patient care. Outline some of the key ?nancial and non?nancial metrics that would be suitable for this performance evaluation. Present your results in a balanced scorecard format.
(Note: there is no one answer to this.Think about what indicators you would want to track and use the balanced scorecard categories in the text for guidance.)
4.Describe the ethical issues presented in the case. Discuss how these ethical issues impact accounting choices or the fair reporting of accounting information. Highlight the role accounting can play in ethical decision making.
This analysis is primarily about who is affected by coming in over or under budget, what does it mean for the future? Using an ethical model will help frame your answer.










Orthopedic Unit Flexible Budget ST GEORGE HOSPITAL ORTHOPEDIC UNIT (IN THOUSANDS, EXCEPT FOR WACU VOLUMES) Profit Plan WACUS Patient Volume Actual Volume Flexible Variance Budget $ Price Efficiency/Cost Variance WACUS Patient $ $ Volume Funds Received Hips 2,132 10,645 Knees 2,288 11,424 Total Funds Received 4,420 22,069 2,281 11,390 2,425 12,109 4,706 23,499 Variable Costs (hips) Hips Medical 500 2,497 650 3,245 Hips Theatre 1,525 7,614 1,494 7,461 Variable Costs (knees) Knees Medical 1,892 3,826 1,039 4,018 Knees Theatre 259 2,206 257 2,164 Total Variable Costs 16,143 16,888 Contribution Margin 5,926 6,611 Fixed Costs Hospital & Admin 3,661 4,240 Other 1,042 2,117 Total Fixed costs 4,703 6,357 Net Income 1,223 254
Step by Step Solution
There are 3 Steps involved in it
Get step-by-step solutions from verified subject matter experts
