Question: the space provided. For questions 1 -8, factor the expression. 1. x- - 25 2. x2 + 4x+4 3. x2 - 100 4. 4x -

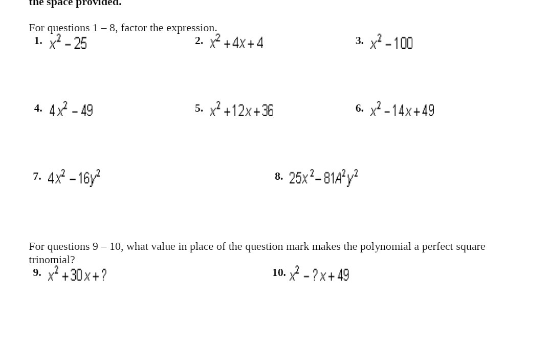
the space provided. For questions 1 -8, factor the expression. 1. x- - 25 2. x2 + 4x+4 3. x2 - 100 4. 4x - 49 5. x- +12x+36 6. x- - 14x+49 7. 4x - 16y- 8. 25x2-8147 y? For questions 9 - 10, what value in place of the question mark makes the polynomial a perfect square trinomial? 9. x- + 30x+? 10. x -?x+49
Step by Step Solution
There are 3 Steps involved in it
Get step-by-step solutions from verified subject matter experts
