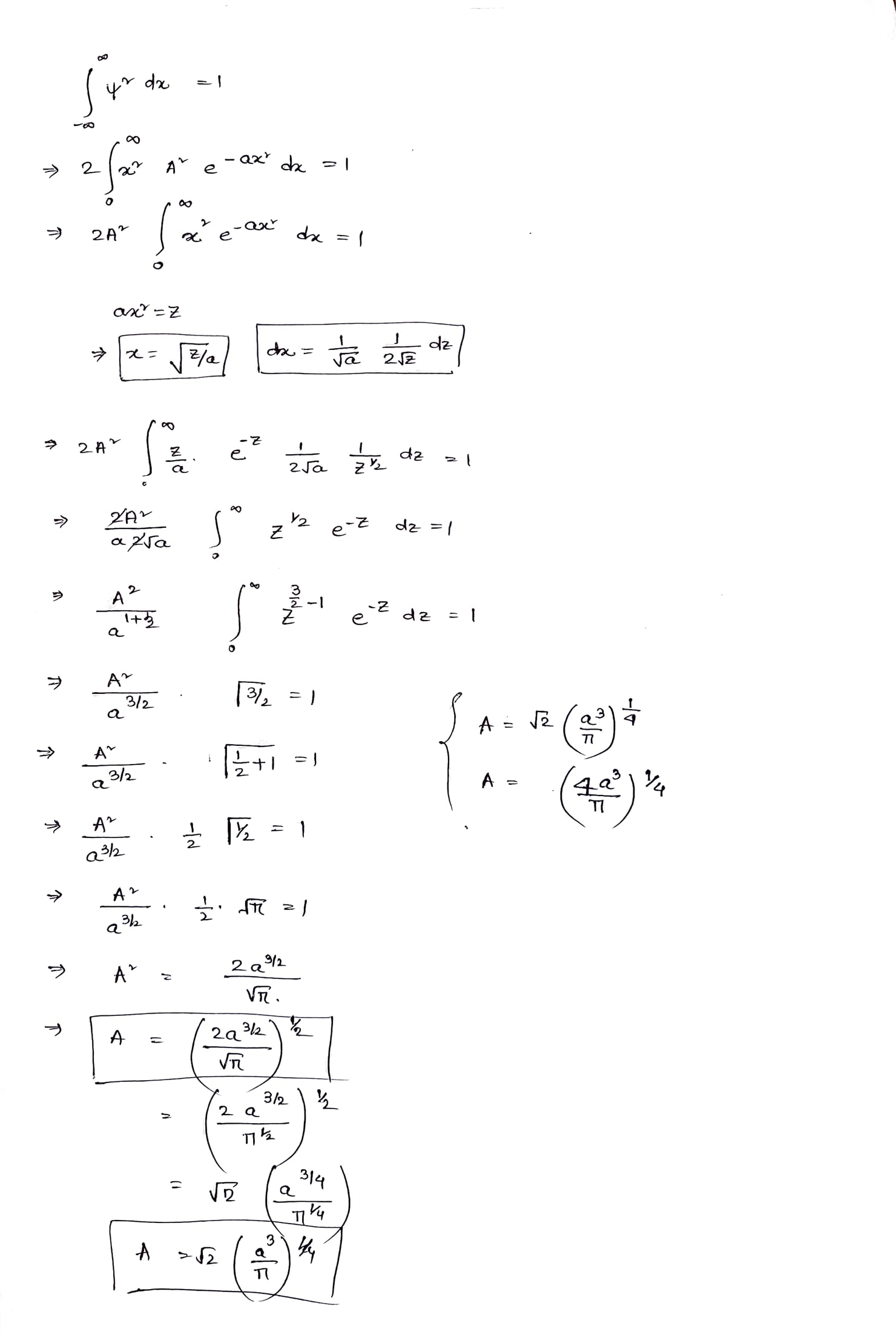
Question: The wave function for the first excited state , for the simple harmonic oscillator is , = Axe (@* /2). Normalize the wave function to


The wave function for the first excited state , for the simple harmonic oscillator is , = Axe (@* /2). Normalize the wave function to find the value of the constant A. (Use the following as necessary: () A= 2a X Determine (x), (x
Step by Step Solution
There are 3 Steps involved in it
Get step-by-step solutions from verified subject matter experts
