Question: The world lasts T > 2 periods. A consumer has income wt in any period t. The real interest rate is r ? 0, and

The world lasts T > 2 periods. A consumer has income wt in any period t. The real interest rate is r ? 0, and the consumer can borrow and lend as much as he/she wants at this rate. The consumer consumes Ct in each period and has utility function U(c).
a. Write down the consumer's budget constraint.
b. Write down the consumer's utility maximization problem
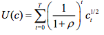
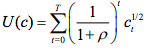
The consumer has utility function:

Step by Step Solution
There are 3 Steps involved in it
1 Expert Approved Answer
Step: 1 Unlock
Question Has Been Solved by an Expert!
Get step-by-step solutions from verified subject matter experts
Step: 2 Unlock
Step: 3 Unlock
