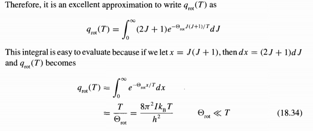
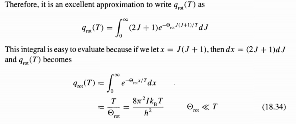
Question: Therefore, it is an excellent approximation to write qrot (T) as 9rot (T) = ( 23 + 1)e - 10 )(+1)/ dJ This integral is


Therefore, it is an excellent approximation to write qrot (T) as 9rot (T) = ( 23 + 1)e - 10 )(+1)/ dJ This integral is easy to evaluate because if we let x = J(J + 1), then dx = (2J + 1)d J and q(T) becomes 9rot (T) = e 0 T =
Step by Step Solution
There are 3 Steps involved in it
Get step-by-step solutions from verified subject matter experts
