Question: These are the practice problems for the final exam, the answers are there, I just want to know how to solve them? So can you
These are the practice problems for the final exam, the answers are there, I just want to know how to solve them? So can you please show to me the solving steps for each question!



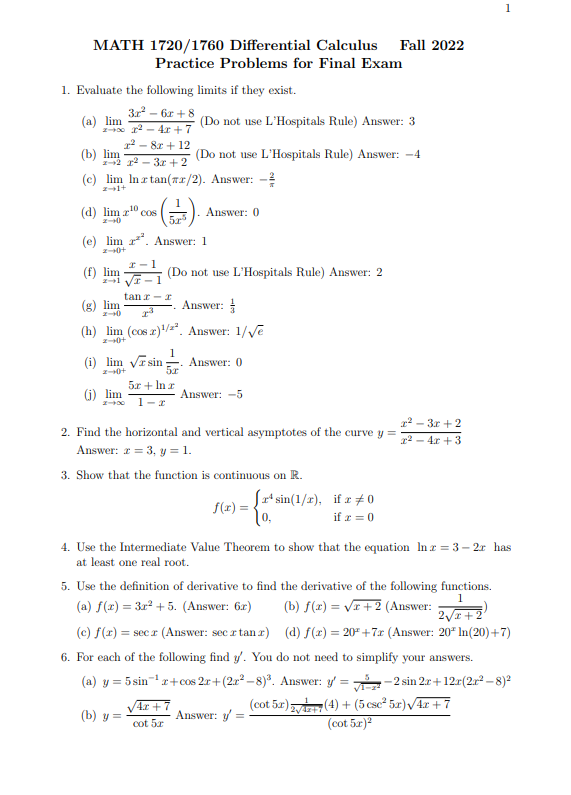
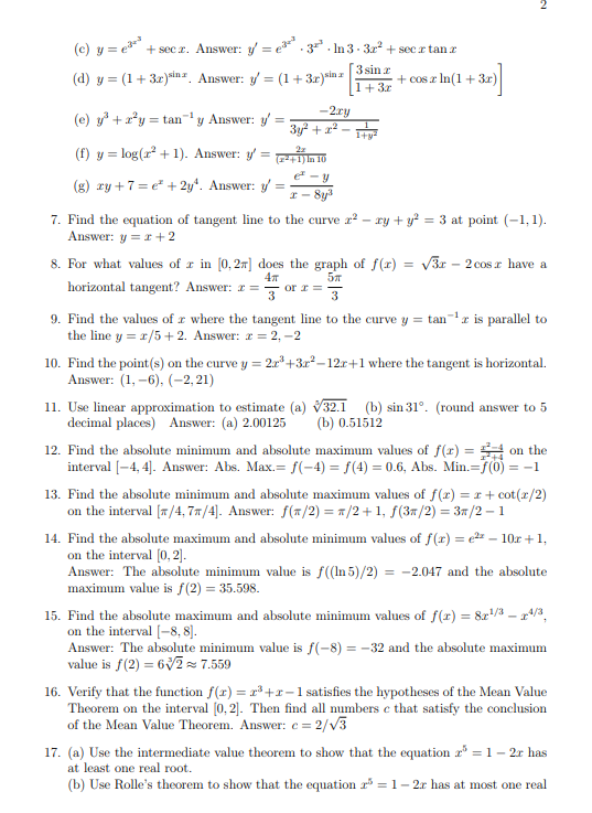
MATH 1720/1760 Differential Calculus Fall 2022 Practice Problems for Final Exam 1. Evaluate the following limits if they exist. (a) lim 3.r- - 6r + 8 2-400 12 - 4x+7 (Do not use L'Hospitals Rule) Answer: 3 1' - 8x + 12 (b) lim - 2 12 12 - 3x + 2 (Do not use L'Hospitals Rule) Answer: -4 (c) lim In r tan(x/2). Answer: -= 2-+1+ (d) lim z cos Answer: 0 (e) lim r. Answer: 1 (f) lim (Do not use L'Hospitals Rule) Answer: 2 tanr - I (g) lim Answer: (h) lim (cos x) 1/7. Answer: 1/ve (i) lim vrsin -. Answer: 0 5r 5r + Inc (j) lim 1-I - Answer: -5 x - 3r + 2 2. Find the horizontal and vertical asymptotes of the curve y = - 12 - 4r + 3 Answer: 2 = 3, y = 1. 3. Show that the function is continuous on R. f(x) = * sin(1/r), ifa # 0 if r = 0 4. Use the Intermediate Value Theorem to show that the equation In x = 3 -2r has at least one real root. 5. Use the definition of derivative to find the derivative of the following functions. (a) f(x) = 312 + 5. (Answer: 6x) (b) f(x) = vx +2 (Answer: 24 2 1 (c) f(r) = secr (Answer: sec rtanr) (d) f(x) = 20" +7x (Answer: 20* In(20)+7) 6. For each of the following find y'. You do not need to simplify your answers. (a) y = 5sin + cos 2r+ (2x2 -8)3. Answer: y' = -2sin2r+ 12r(212-8)? (b) y - Vic+7 (cot 5x) 2/12 7(4) + (5 esc' 5x)v4r + 7 Answer: y = cot 5r (cot 5x)'(c) y =ed + secr. Answer: y' = ed .3" . In3 - 3x' + seertani (d) y = (1 + 3x)sing. Answer: y' = (1 + 3r)sins 3 sing 1 + 3x + cosa In (1 + 3x) -2cy (e) y + ry = tan ly Answer: y = 31- + 1 - Ty (f) y = log(r' + 1). Answer: y' = (2-+1/In 10 (g) xy + 7 = e' + 2y'. Answer: y' = - y I - 8yl 7. Find the equation of tangent line to the curve al - ry +y' = 3 at point (-1, 1). Answer: y = : + 2 8. For what values of r in [0, 2x] does the graph of f(x) = v3x - 2cosr have a horizontal tangent? Answer: T = 7 or I = 3 9. Find the values of r where the tangent line to the curve y = tanda is parallel to the line y = x/5 + 2. Answer: x = 2, -2 10. Find the point(s) on the curvey = 2x3+3r'-12r+1 where the tangent is horizontal. Answer: (1, -6), (-2, 21) 11. Use linear approximation to estimate (a) v32.1 (b) sin 31". (round answer to 5 decimal places) Answer: (a) 2.00125 (b) 0.51512 12. Find the absolute minimum and absolute maximum values of /(@) = = 4 on the interval [-4, 4). Answer: Abs. Max.= /(-4) = /(4) = 0.6, Abs. Min.=f (0) = -1 13. Find the absolute minimum and absolute maximum values of f (x) = r + cot(x/2) on the interval [*/4, 7x/4]. Answer: /(*/2) = */2 + 1, f(3#/2) = 3#/2 - 1 14. Find the absolute maximum and absolute minimum values of f (x) = ex - 10r + 1, on the interval [0, 2]. Answer: The absolute minimum value is f((In 5)/2) = -2.047 and the absolute maximum value is f (2) = 35.598. 15. Find the absolute maximum and absolute minimum values of f(r) = 81/3 - 4/3. on the interval [-8, 8]. Answer: The absolute minimum value is f(-8) = -32 and the absolute maximum value is f (2) = 6V/2 = 7.559 16. Verify that the function f(r) = 23+ r- 1 satisfies the hypotheses of the Mean Value Theorem on the interval [0, 2). Then find all numbers c that satisfy the conclusion of the Mean Value Theorem. Answer: c = 2/V3 17. (a) Use the intermediate value theorem to show that the equation a" = 1 - 2r has at least one real root. (b) Use Rolle's theorem to show that the equation r" = 1 - 2r has at most one realroot. (c) Use Newton's method with the initial approximation 21 = 0 to find za, the third approximation to the solution of the equation ' = 1 - 2r. Answer: 22 = 0.5, 13 = 0.4865 18. Car A is travelling west at 50 mi/h and car B is travelling north at 60 mi/h. Both are headed for the intersection of the two roads. At what rate are the cars approaching each other when car A is 0.3 mi and car B is 0.4 mi from the intersection? Answer: 78 mi/h. 19. A kite 100ft above the ground moves horizontally at a speed of 8 ft/s. At what rate is the angle between the string and the horizontal decreasing when 200 ft of string has been let out? Answer: 0.02 rad/s 20. A rectangular storage container with an open top is to have a volume of 10m . The length of its base is twice the width. Material for the base costs $10 per square meter. Material for the sides costs $6 per square meter. Find the cost of materials for the cheapest such container. Answer: $163.54 21. Find the most general antiderivative of f(x) = 2VT + 6 cos x Answer: fry2 + 6sine + C 22. Let A be the area of the region that lies under the graph of f(x) = 2r- +5 between r = 0 and r = 4. Using right endpoints find expressions for A as a limit. Evaluate the limit without using the Fundamental Theorem of Calculus. Answer: 128 23. Let A be the area of the region that lies under the graph of f(x) = 5x -3x between r = 0 and r = 3. Find an expression for the area A as a limit. Evaluate the limit without using the Fundamental Theorem of Calculus. Answer: 24. Evaluate the integral / v49 - a der by interpreting it in terms of area. Ans: 25. Curve sketching: For each of the functions (i) f(x) = x' -2r-+3 (ii) f(x) = 15/3 - 5.2/3 (mii) f(x) = etr-1 answer the following questions. (a) State the domain of f. (b) Find the r and y intercepts. (c) Does f have even symmetry, odd symmetry, or neither? (d) Determine the vertical asymptote(s) of the curve y = f(x) (if any), and deter- mine the left and right limits at each of these asymptotes. (e) Determine the horizontal asymptote(s) of the curve y = f(x) (if any). (f) Find the intervals of increase/ decrease. (g) Determine the points at which f has a local maximum/local minimum. (h) Find the intervals of concavity. (i) Determine the inflection points. (j) Sketch the graph y = f(2) using above information
Step by Step Solution
There are 3 Steps involved in it
Get step-by-step solutions from verified subject matter experts
