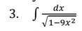
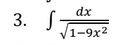
Question: This ACTIVITY ON HYPERBOLIC FUNCTION Evaluate the following integrals. Show your solutions/process. dx 1-9

This ACTIVITY ON HYPERBOLIC FUNCTION Evaluate the following integrals. Show your solutions/process.

dx 1-9
Step by Step Solution
There are 3 Steps involved in it
Get step-by-step solutions from verified subject matter experts
