Question: This assignment will assess your ability to apply the concepts of chapter 10 to conduct simple and multiple regression analyses to create a prediction model
This assignment will assess your ability to apply the concepts of chapter 10 to conduct simple and multiple regression analyses to create a prediction model for home prices data set.xls based on 4 independent variables. You will calculate various descriptive statistics, create summary tables, create various charts and develop 5 regression prediction models. Finally, you will create a written report summarizing your findings. You will need to use the Data Analysis ToolPak Add-in as you did in Case Study 1.




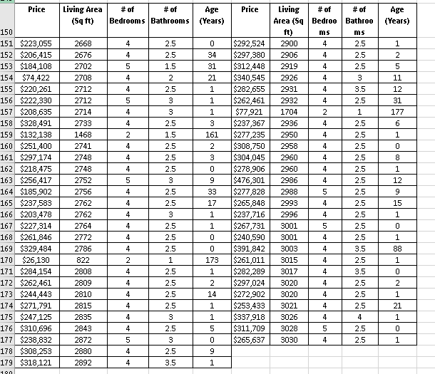
The data set contains 5 variables: price of the home, living area (square feet), number of bedrooms, number of bathrooms, and age of the home. In developing both your model and the report, address the items below:
- There are numerous variables that are believed to be predictors of housing prices, including the ones in the data set for this project. Using the web, find the key variables that determine home price including any not included in this data set.
- Using Data>Data Analysis>Descriptive Statistics in Excel, calculate the mean, median, range and standard deviation of each variable and summarize the results in table.
- Using Excel, create histograms for price of the home, living area (square feet) and age of the home. Be sure to give each chart a title and label the axes clearly.
- Using Excel, create scatterplots of each variable with each other variable. Be sure to give each chart a title and label the axes clearly.
- Using Data>Data Analysis>Correlation in Excel, calculate the correlation coefficient each variable with each other variable.
- Using Data>Data Analysis>Regression in Excel, run 4 separate simple regression models to predict the dependent variable (price of the home) with each of the independent variables. Use an alpha level of 0.05 to determine significance.
- Using Data>Data Analysis>Regression in Excel, run a multiple regression model to predict the dependent variable with all 4 independent variables. Use an alpha level of 0.05 to determine significance.
- In Word, write a summary report of the findings that includes the tables, charts and regression analyses from steps 1-7 and includes the following:
- An introductory paragraph summarizes the purpose of the analysis. Also include information that found in your web search about the key variables that determine home price.
- A section (1 or more paragraphs) describing what the tabular data from step 2 indicate about the central tendency, variability and distribution of each variable. For example, do the variables appear to be distributed in a symmetric or skewed pattern.
- A section (1 or more paragraphs) describing how the frequency histograms from step 3 support and clarify the findings of the tabular data. Include in this section any evidence suggesting outliers in the data.
- A section (1 or more paragraphs) describing what the scatterplots from step 4 and correlations from step 5 indicate about the relationship between the various pairs of variables (e.g., are the variables related?, does the relationship appear to be linear or nonlinear?, is the direction of the relationship positive or negative?).
- A section (1 or more paragraphs) summarizing the findings of the 4 simple regression models from step 6. Which models (if any) show that the independent variable in the model is a significant predictor of price of the home? Which models (if any) show that the independent variable in the model is not a significant predictor of price of the home? Which model is the best fitting? Which model is the poorest fitting?
- A section (1 or more paragraphs) summarizing the findings of the multiple regression model from step 7. Which variables in the model (if any) show that are a significant predictor of price of the home? Which variables in the model (if any) show that are not a significant predictor of price of the home? Does the multiple regression model provide a better fit than the best fitting simple regression model?
- A concluding paragraph summarizing the key findings of the analysis and making about which model is the best fitting. Based on your web research in step #1, indicate any other variables that are not included in the current best fitting model that might improve the fit if they were included.
Note: Submit a single Excel workbook showing all work for steps 2-7 and a Word document of your summary report that addresses all parts of Step 8.
P Price U Price X #of Bathroo Price Age (Years) 16 1.5 2.5 2 O Age (Years) 3 4 4 4 4 4 4 4 4 4 4 4 5 5 1.5 2 2.5 2.5 2.5 | 3 1 1.5 2 3 Y Age (Years) 11 11 11 11 11 11 11 11 11 11 11 12 12 12 12 12 12 12 12 12 53 12 2 5 1.5 1.5 2 2 2 1.5 1416 2.5 2.5 C D E #of #of Age Bedrooms Bathrooms (Years) 1 1 1 1 2.5 1 1 2.5 1 1 1.5 0 0 0 0 2.5 1 2.5 1 2.5 1 2.5 1 2.5 1 2.5 1 1 1 2.5 1 1 2.5 1 1.5 0 1.5 0 0 0 2.5 0 2.5 0 O 0 0 2.5 0 2.5 0 2.5 0 0 0 2.5 0 2.5 0 0 0 0 0 0 0 3 Price Living Area (Sq ft) 2 $111,394 1272 3 $124,367 1272 4 $159,843 1350 5 $161,923 1456 6 $128,040 1488 7 $123,910 1620 8 $133,595 1666 9 $145,6631 1666 1218 11 $111,3531 12 $80,5401 1380 13 $136,379 1486 14 $164,4191 1785 15 $167,6931 1876 16 $208,0481 1876 17 $228,2911 1986 18 $220,765 2058 19 $257,015 20 $235,620 2107 21 $208,339 2109 22 $175,874 1 2195 23 $189,665 2203 24 $120,639 1498 25 $120,639 1498 26 $151,917 1510 27 $173,7231 1548 28 $140,510 1590 29 $125,920 1605 B0 $168,739 1620 81 $185,323 1662 B2 $139,435 1666 33 $156,797 34 $170,600 1728 35 $204,643 1743 36 $164,623 1772 87 $157,946 1804 38 $162,0911 1806 39 $147,412 1821 70 $190,444 1 1836 41 $197,105 1894 #2 $248,204 1908 73 $184,109 1920 74 $240,890 1921 75 $226,304 | 1921 1.5 F G H I J Price Living #of #of Age Area (Sq Bedroo Bathroo (Years) $251,259 1932 3 2 0 $154,723 1944 3 2 .5 0 $213,048 2022 3 2 .5 0 $71,647 2087 2. 51 0 $206,512 | 2116 0 $173,446 2124 2.5 0 $255,303 2242 0 $243,305 2242 0 $212,846 2270 0 $357,384 2322 2.5 0 $216,841 2472 2.5 0 $209,226 2550 2.5 0 $130,518 1.5 1 $124,939 1678 2.5 1 $193,524 1730 2.5 1 $155,488 1747 2.5 1 $182,649 2.5 1 $169,876 1774 2.5 1 $150,505 1785 2.5 1 $154,528 1785 2. 5L 1 $229,761 2230 2. 5L 1 $185,487 2271 2. 5L 1 $270,841 2306 3 2.5 1 $186,605 2328 3 2.5 1 $323,819 3 1 $357,138 2618 | 1.5 1 $107,411 840 | 2 1 $142,302 1242 2 2 2 $111,436 1380 3 1.5 2 $157,411 1666 3 2.5 2 $162,631 1804 3 2.5 2 $120,115 967 2 55 $213,249 1904 2 2 2 $236,215 2066 3 2.5 2 $167,319 2088 3 2 2 $174,208 2372 2 2 $129,155 1242 2 1 2 3 $112,877 1380 3 1 3 $234,429 1470 3 2.5 3 $147,440 1590 2.5 $213,249 1643 $204,661 1927 3 $227,994 1973 2.5 $179,492 2030 3 $212,103 2170 3 K L M N Price Living #of #of Area (Sq Bedroo Bathroom $230,708 2548 3 2 .5 $111,534 1032 3 1 $144,561 1292 3 2 $236,215 3 2.5 $126,311 3 2.5 $153,129 1560 3 2 $246,976 1652 3 1.5 $200,791 1680 3 $208,743 1804 2.5 $181,979 1822 2.5 $265,515 1870 2.5 $279,522 2000 2.5 $146,611 1056 1 $120,279 1056 1 $118,949 1164 $109,578 1176 2 $93,773 1324 $123,757 3 $169,647 1430 3 $114,513 1560 3 1.5 $200,126 $158,863 1696 3 $263,408 1738 2 $188,497 1742 2.5 $190,284 1879 3 2.5 $209,371 2084 2.5 $123,834 1092 1 $139,219 2308 2 $244,441 2396 2.5 $150,798 1212 1.5 $103,672 1476 2 $145,123 1536 2 $130,490 1595 3 2 $156,164 | 1792 2. 5 1808 5 1. $168,497 1888 2 $231,749 1980 3 2 $260,485 2143 3 2.5 $578,856 2472 3 2.5 $107,919 $120,476 1120 $106,524 1148 $161,923 1158 $114,238 1164 3 $133,155 1334 1.5 V W Living #of Area (Sq Bedroom 1352 2 1416 3 1470 3 1547 3 1578 3 1582 3 1642 3 1815 3 1824 3 1984 2 2079 3 960 | 2 1040 3 1391 3 1470 3 1512 3 1512 3 1512 3 1822 3 1900 3 1244 4 21863 2738 2 1198 2 1244 2 1344 3 1420 3 1250 4 1512 3 1512 3 1512 3 1564 3 1868 3 1948 3 2038 3 2076 3 1272 4 2494 3 912 2 1034 5 2.5 Q R S T Living #of #of Age Area (Sq Bedroo Bathroom (Years) 1404 3 2 7 1512 3 5 1. 7 1536 3 2.5 7 1572 3 1. 5 7 1880 2 7 2316 3 2. 5 7 1164 3 2 8 1281 1 8 1528 3 2.5 8 1601 3 1.5 L 8 1764 3 2.5 8 1840 8 1842 1.5 8 1170 1.5 26 2152 2.5 8 2167 2.5 8 2216 3 2.5 8 1099 1 / 9 1332 1. 5 9 1423 1. 5 9 1552 5 1. 9 1592 1. 5 9 1836 2. 5 9 1940 2 / 9 2110 5 2. 9 2270 2.5 9 2380 2. 5 9 2934 3 2.5 9 988 10 1170 2 2 10 1200 10 1300 3 1 10 1196 4 1.5 56 1456 3 10 1498 3 1.5 10 1542 2.5 10 1664 3 10 1752 10 2097 10 2120 11 11 1248 11 1336 11 1348 11 F Living #of # of | Area (Sq Bedroo Bathroo 1290 3 1.5 1302 2 1 .5 1344 3 1.5 1480 2.5 1480 2.5 1480 1.5 1360 4 1480 2 2.5 1480 2 1486 3 1.5 1486 1492 2.5 1492 3 1508 3 1512 3 3 1540 1.5 1550 2 1560 1.5 1561 3 1572 3 1585 3 1592 3 1600 1668 2 1702 1380 1800 3 2.5 1812 3 2 1872 3 1886 3 1908 1924 2 2016 3 1.5 2044 3 1394 2300 2.5 2 1 3 2 $120,192 $150,909 $171,885 $143,808 $136,551 $189,912 $124,492 $101,230 $177,539 $161,839 $210,672 $108,478 $181,399 $122,221 $184,315 $193,565 $225,742 $124,939 $155,855 $150,849 $163,102 $149,078 $183,066 $200,793 $188,497 $309,808 $261,872 $329,221 $116,938 $104,084 $90,446 $92,436 $65,550 $206,512 $166,222 $116,882 $165,213 $208,610 $189,108 $210,743 $45,004 $114,513 $130,229 $160,635 $162,612 Z Price Living #of #of Area (Sq Bedroo Bathroom $148,692 1.5 $89,893 1480 $88,207 1480 3 1.5 $82,556 | 1480 $84,291 1480 2.5 $158,565 1512 $180,803 1570 $123,266 1632 1.5 $149,078 1664 1.5 $134,865 1676 $139,418 1296 $242,952 $176,698 1772 2.5 $169,343 1796 2.5 $224,928 2185 2.5 $303,599 3329 $84,291 924 $84,291 $100,938 1034 3 1.5 $130,239 1052 1.5 $78,191 1080 2 $52,360 1310 1.5 $51,183 1144 $128,273 1343 2.5 $160,995 1344 1.5 $104,412 1480 1.5 $102,806 1480 1.5 $95,260 1480 $172,795 1512 1.5 $133,067 1326 $160,571 1612 2 $102,405 1680 2 $118,007 1694 2 $45,904 1328 $115,248 1700 $158,338 1836 2.5 $187,087 | 2027 2.5 $193,565 2350 2.5 $296,708 3210 $90,354 912 $127,055 1019 $106,524 1144 $125,361 1173 $125,562 1253 $104,339 1290 $137,044 $127,385 $149,756 $172,016 $152,786 $147,425 $144,695 $180,817 $228,904 $154,238 $192,694 $50,709 $101,230 $148,246 $148,496 $178,216 $178,216 $159,175 $171,171 $139,800 $96,958 $355,529 $224,818 $109,040 $140,269 $26,049 $135,526 $183,657 $132,311 $131,411 $144,571 $131,165 $187,003 $193,497 $218,517 $209,371 $83,617 $212,932 $115,312 $103,408 $91,386 $98,652 $120,476 $130,782 $143,697 Age (Years) 14 14 14 14 14 14 14 14 14 14 51 14 14 14 14 14 15 15 15 15 15 120 15 15 15 15 15 15 15 7 15 15 15 103 15 15 15 15 15 16 16 16 16 16 16 5 2.5 $137,220 $102,086 $103,258 $133,155 $127,740 $98,790 $143,294 $94,064 $98,256 $103,958 $116,321 $101,708 $103,256 $152,404 $129,427 $155,787 $155,787 $171,885 $103,508 $159,786 $118,952 $170,567 $107,049 $80,248 $147,625 $197,581 $94,868 $231,298 $172,789 $167,253 $163,191 $279,083 $181,516 $142,420 $161,562 $130,757 $236,936 $91,792 $115,566 $127,303 $101,997 $94,774 $160,571 $104,084 $106,524 3 1.5 2 5 5 5 5 72 5 5 6 6 6 6 1.5 5 1.5 1 1.5 3 3 3 2 2.5 1.5 2.5 3 6 6 13 13 13 13 43 13 13 13 13 13 13 13 13 115 13 14 14 14 14 14 14 14 2.5 2.5 2.5 1.5 6 6 6 6 2.5 2.5 2.5 1 10 10 2.5 2 NNN 1158 1248 1274 1376 1214 1240 1294 1302 1308 15 3 3 7 3 17 A B Living Area (Sq ft) Price C D E #of # of Age Bedrooms Bathrooms (Years) J | Age (Years) O Age (Years) Price Q R S Living #of #of Area (Sq Bedroo Bathroom Price T Age (Years) Price Y Age (Years) # of Bathroo AD Age (Years) Age (Years) 49 ft) ft) 19 36 1.5 1.5 2 4 18 18 18 18 1.5 1.5 1.5 19 19 1 21 41 50 21 21 26 61 1.5 1.5 1.5 1.5 1.5 1.5 1.5 1.5 1.5 31 31 31 31 31 31 31 31 18 19 1.5 19 20 1.5 21 2.5 1.5 1.5 1.5 $10791 1.5 1.5 1.5 1.5 2.5 31 17 17 17 17 17 17 17 17 17 17 17 17 17 17 54 17 17 17 17 17 1.5 1.5 2.5 32 18 18 18 18 18 18 18 18 18 18 18 19 32 31 1.5 1.5 32 AF AG AH Living # of # of Area (Sq Bedroo Bathroo ms 1740 3 1.5 1782 1856 2176 864 912 1248 1496 1612 1664 1736 1794 1856 1008 1116 864 1802 924 1040 1363 1708 1806 $141,760 $148,203 $122,257 $260,887 $126,010 $94,064 $139,079 $134,933 $143,768 $166,335 $114,590 $159,920 $148,401 $107,513 $200,940 $147,634 $107,695 $65,615 $117,287 $49,564 $74,422 $200,510 000 1.5 1.5 1.5 1.5 2.5 1.5 1.5 2.5 2.5 1.5 912 NIN G H I Price Living #of #of Area (Sq Bedroo Bathroo ms ms $138,914 1576 1.5 $126,082 1592 1.5 $126,082 1592 1.5 $118,517 1592 $146,978 1656 $173,082 1656 $150,502 1668 $104,556 1673 $104,556 1673 $257,499 1675 $170,534 1820 $175,784 1837 $162,984 1872 $110,963 1888 $191,988 2096 $206,480 2310 $79,567 908 $79,116 1908 $77,547 908 $75,606 $81,762 912 $104,651 912 $94,584 1924 $93,200 1924 $99,045 937 $101,375 960 $185,318 1500 $92,932 988 $67,951 1040 $93,815 1184 $100,003 1184 $97,476 1219 $118,409 $90,446 1256 1.5 $92,519 1281 VIUU,306 1314 $125,361 1326 1.5 $133,215 1364 1.5 $98,632 1406 $96,934 1480 $104,084 1480 $89,306 1480 $108,593 1480 $137,606 1508 $128,434 1508 1.5 50 $110,115 51 $93,846 52 $87,588 53 $122,257 54 $240,857 55 $135,708 56 $115,771 57 $119,751 58 $100,839 59 $93,895 60 $117,703 61 $114,514 62 $85,939 63 $135,167 64 $116,862 65 $162,006 66 $154,696 67 $160,349 68 $179,572 69 $151,950 70 $173,102 71 $124,585 72 $148,967 73 $96,004 74 $100,397 75 $98,333 76 $86,651 77 $184,515 78 $111,264 79 $102,801 80 $98,389 81 $98,389 82 $116,589 83 $107,743 84 $102,530 85 $113,600 86 $112,153 87 $99,311 88 $121,279 89 $115,401 90 $160,692 91 $152,112 92 $146,626 93 $110,963 94 $143,252| L M N Living Living #of of #of Area (Sq Bedroo Bathroom ms 1514 3 1.5 1656 3 1720 1512 1811 2.5 1831 2144 912 912 912 912 912 1536 924 988 988 1184 1184 1274 1314 1336 1364 1375 1375 1422 1428 1551 1475 1479 1480 1508 1530 1554 1652 2116 2628 1561 3319 3457 2.5 908 929 976 1168 1184 1228 1385 1385 1392 1400 1445 1460 1479 1480 1480 1480 1492 1514 1527 1610 1456 1656 1704 1732 1736 1792 1896 1468 2208 912 912 912 1140 1472 1142 1184 1184 1184 1184 1184 1202 1240 1270 1281 1348 1480 1500 1512 1561 1568 1568 19 19 19 19 19 19 19 1.5 21 21 21 22 22 22 22 22 22 81 23 23 23 23 35 23 24 24 24 24 83 24 25 25 25 U Price Living #of Area (Sq Bedroom ft! $133,688 1780 12 $163,652 1908 $154,432 1644 $198,622 2024 $121,973 2268 $163,781 1124 $97,739 1276 $107,912 1308 $112,649 1350 $145,123 1372 $140,602 1693 $189,836 1726 $166,888 1740 $137,127 1892 $198,969 1938 $153,850 2400 $111,221 1056 $129,155 | 1260 $126,311 1370 $138,424 1673 $160,007 1665 $213,901 | 1680 $156,820 1720 $125,029 1836 $151,950 1890 $119,937 2028 $150,434 1666 $111,702 878 $116,795 1404 $59,043 1668 $106,950 1472 $107,306 1276 $121,798 1308 $205,950 1474 $210,081 1596 $128,040 1688 $143,294 | 1918 $129,470 2088 $147,517 1680 $202,836 2284 $115,659 1242 3 $99,574 1628 2 $55,8171688 5 $146,981 1832 $99,463 912 3 $108,958 $157,370 $163,310 $119,875 $163,728 $187,026 $196,846 $85,585 $111,239 $92,852 $95,708 $95,708 $63,852 $99,082 $100,967 $75,399 $102,003 $106,365 $144,335 $112,825 $81,580 $119,389 $107,892 $112,400 $115,649 $196,512 $137,540 $135,820 $136,203 $110,182 $152,786 $137,508 $140,701 $150,772 $232,934 $207,751 $159,313 $269,063 $378,465 $105,035 $91,672 $69,876 $102,806 $104,984 $107,743 1.5 2.5 Z AA AB AC Price Living #of # of Area (Sq Bedroo Bathroom ms $103,262 1176 2 1.5 $116,170 1272 3 1 $134,378 1279 $134,865 1500 1.5 $111,546 1560 $141,029 1874 2.5 $154,499 1886 $142,907 1920 $330,219 2576 2.5 $108,421 | 1288 $133,199 1716 2 $122,221 1440 $153,013 1720 $178,760 2014 $137,309 1092 $109,259 1239 $132,088 1368 1 $137,681 1728 1.5 $150,581 1664 2 $94,667 912 $148,585 1734 $156,530 1734 $106,659 936 $92,519 1368 $122,796 1612 $157,476 1664 $113,740 1920 $118,585 936 $124,669 1092 $143,210 1744 $123,827 1302 $135,011 1327 2 $101,227 1754 $139,079 1400 $148,989 792 $161,190 1758 2 $136,499 1152 $126,010 1760 $113,367 1760 $139,104 1760 $113,371 1177 $452,745 1764 $455,140 1764 $133,612 1768 $198,622 16162 2 $103,633 $79,982 $88,092 $103,677 $101,193 $146,611 $91,672 $148,231 $106,117 $135,901 $282,373 $75,094 $88,092 $94,405 $108,785 $221,263 $175,084 $72,189 $87,852 $101,230 $130,917 $298,549 $152,466 $432,845 $119,858 $119,001 $156,606 $129,868 $150,434 $135,011 $89,432 $126,049 $108,459 $145,583 $77,650 $212,103 $136,192 $119,784 $149,933 $103,861 $139,079 $179,524 $150,022 $129,609 $111,875 33 33 33 12 33 34 34 29 34 34 1314 1572 1572 1375 1375 1580 1392 1475 1480 1508 2793 728 929 1375 1480 2000 2214 1594 976 1032 1456 2310 1600 3250 1476 1506 1756 1792 1611 2488 1132 1268 1292 1376 1620 1400 1623 1560 1664 1700 1719 1632 1632 1635 1758 2.5 17 25 25 20 25 25 26 26 26 26 26 26 26 26 26 26 26 27 27 27 27 27 27 27 27 27 27 38 28 28 115 28 29 29 29 29 29 29 29 27 29 30 30 119 30 31 $113,796 960 1.5 | 1.5 1.5 19 34 1.5 1.5 1.5 N $105,843 $113,514 $163,524 1.5 1.5 972 1142 2516 1.5 19 208 19 19 $146,161 984 15 1.5 19 19 19 19 19 19 19 25 1.5 110 35 36 26 36 37 133 135 2.5 1.5 2.5 1.5 $153,590 1820 $101,375 1820 $81,762 1008 $168,065 1016 $247,639 1016 $114,326 1053 $157,430 1092 $145,147 1832 $128,717 1215 $112,153 1834 $109,578 1342 $116,289 1107 $101,258 1232 $157,055 1836 $107,766 1272 $161,473 1560 $93,174784 $104,984 1144 17 25 18 | 18 18 18 18 18 18 18 19 19 19 19 19 19 19 19 19 HANNN 20 21 21 21 21 21 21 25 36 25 25 25 25 20 30 52 25 1 1.5 2 2.5 2.5 3 85 86 48 36 1.5 1.5 2 1.5 3 1. 51 1 AG Price Living #f # of Price #of #of Age Bedrooms Bathrooms (Years) ace Age (Years) Price Living to Age Age (Years) Price Living Age Price Price Living # of Bathroo Age Age (Years) Price Price Living Age Age (Years) Price Living * * Age (Years) Ase Area (Sq Bedroo Bathroo #of #of Bedroo Bathroom ms 3 1.5 2 1.5 ms ms ms 4 2.5 | 2.5 1 52 53 2.5 2.5 2 66 66 35 1 16 37 147 16 44 1 54 67 | 1 110 112 0 0 24 113 18 17 in ununun |-|| 18 68 1 | 25 | | | //| | 2 | 1.5 | | 2222 2.5 2.5 0 0 36 19 6 113 | 25 ): | t Living #of #of Area (Sq Bedroo Bathroom ft) ms 2359 4 2367 2.5 1540 2376 2.5 1334 1.5 2388 2394 1628 2396 4 1295 2402 2405 2412 2421 2425 2434 2.5 2434 2.5 2445 2460 2.5 2464 2464 2.5 2470 2472 1463 3 2472 4 25 25 2.5 113 114 31 36 2.5 25 Price Living Area (Sq ft) 98 99 $261,647 1850 100 $101,418 1852 101 $104,749 1852 102 $167,145 1852 103 $118,468 1298 104 $150,909 1374 105 $134,266 1501 106 $71,904 957 107 $99,491 1064 108 $94,486 1150 109 $153,129 1872 110 $114,827 1332 111 $64,174 672 112 $140,945 1873 113 $174,940 1126 114 $152,491 1875 115 $102,806 1248 116 $109,633 775 117 $75,862 995 118 $104,267 1056 119 $76,342 896 120 $89,893 960 121 $161,118 1887 122 $93,895 960 123 $97,783 1061 124 $151,950 1890 125 $80,130 1225 126 $119,840 1411 127 $90,678 957 128 $130,239 1586 129 $140,765 1596 130 $138,297 1800 131 $210,646 1994 132 $373,227 2058 133 $199,733 840 134 $338,596 1908 135 $157,513 1910 136 $173,639 1910 137 $161,496 1910 138 $172,795 1910 139 $156,679 1911 140 $89,232 960 141 $126,436 1216 142 $253,545 1498 143 $326,330 | 1326 46 47 47 47 48 48 27 48 48 3 $130.650 $62,105 $137,508 $111,633 $74,421 $122,044 $193,774 $473,938 $54,210 $49,211 $181,225 $135,823 $93,174 $135,526 $170,345 $117,164 $189,776 $173,794 $198,083 $198,622 $60,309 $109,042 $139,627 $69,814 $104,328 $130,574 $98,423 $146,609 $187,701 $107,973 $154,314 $205,947 $178,851 $172,315 $210,081 $162,913 $199,990 $186,348 $116,589 $129,723 $139,079 $224,888 $205,950 $146,329 $154,829 2110 1228 1164 1564 1928 1637 1932 780 792 800 1944 1946 1022 1952 1952 1536 1964 1970 1971 1971 2039 880 1980 840 898 1600 1355 1989 1992 1388 1466 1224 2002 2008 2008 2011 2011 2011 1322 1593 1608 1200 2024 2026 1440 Living Area (Sq ft) 1536 1954 2035 1096 2039 813 2040 2040 2043 912 2050 2056 2056 2058 882 882 2064 2066 1404 2066 2068 2068 1544 2078 1172 1209 2086 2086 990 1216 2088 1664 2092 1064 847 1360 2103 1653 1800 1235 1428 1548 2116 1859 2119 $247,839 $242,955 $182,068 $104,984 $163,986 $65,325 $187,104 $127,394 $84,333 $119,166 $180,927 $172,814 $215,824 $286,474 $102,287 $44,873 $196,603 $180,032 $122,229 $194,877 $85,560 $202,836 $108,002 $160,007 $102,068 $123,064 $190,856 $196,875 $55,851 |$216,018 $190,983 $60,238 $260,228 $177,124 $300,931 $99,903 $229,915 $66,027 $110,738 $47,630 $114,519 $97,682 $104,412 $261,301 $201,616 Price Living #of # of Age Price Living #of Area (Sq Bedroo Bathroom (Years) Area (Sq Bedroom ft) ft) $207,347 2119 4 2.5 14 $87,852 $202,527 2120 4 2.5 9 $111,809 1711 3 $165,957 1212 87 $199,684 2275 $108,794 1464 87 $194,880 2278 $118,409 2128 7 $261,031 2280 $134,171 2133 34 $126,498 720 $40,932 1320 90 $205,950 2284 $88,770 1000 $206,688 2284 $207,018 2147 $214,749 2286 $189,995 2150 104 $178,767 2291 $217,797 1386 $234,954 2294 $176,618 2162 $180,288 2294 $105,363 1100 93 $184,315 2296 $113,444 1656 94 $235,105 2299 $62,938 1064 95 $146,471 892 $112,509 1138 98 $191,790 2304 $68,353 1216 | 101 $114,070 1098 2 $142,057 952 102 $99,311 | 690 $44,674 1214 103 $181,140 2310 $178,140 2200 1 $175,514 2310 $202,751 2202 2.5 6 $229,180 2310 $121,680 1412 103 $180,670 2310 $181,516 22041 31 $155,414 2310 $128,440 1554 103 $73,892 864 $184,654 2212 18 $169,407 2310 $57,678 924 1 104 $157,081 2310 $152,822 1043 104 $163,992 2310 $218,734 2219 15 $110,770 911 $199,187 2223 9 $167,975 2311 $174,534 2226 2.5 31 $197,956 2314 $171,171 1784 104 $120,476 2238 $50,483 743 105 $189,654 2320 $79,170 1536 105 $109,249 812 $110,234 1652 105 $201.928 2322 $232,989 2248 2.5 7 $219,262 2327 $176,846 2249 4 2.5 1 $211,517 2328 $238,792 2250 4 10 $166,019 1110 $202,800 2250 4 2 $268,783 2329 5 $140,658 2254 31 $206,931 2331 $122,082 2256 1.5 124 $163,478 2334 $160,426 2262 2 21 $233,714 2338 $182,334 | 2262 2.5 24 $244,124 2346 4 $212,830 2266 2.5 0 $283,851 2346 4 $64,552 1298 3 1 106 $240,872 2348 4 $69,463 1170 | 2 | 1 110 $102,626 12271 3 31 72 33 Living #of #of Area (Sq Bedroo Bathroo ft) ms 25244 2526 2527 2539 2541 2541 986 1982 2563 2564 2564 2570 2572 2572 2576 1266 2577 2577 4 2579 2.5 2586 2588 1666 2593 2600 2601 2602 2604 2604 2604 2608 2612 1864 2619 2619 2623 1456 2634 2641 1 4 2641 2641 2648 2655 2655 2656 2657 | $196,317 $189,654 $31,113 $240,952 $189,654 $216,530 $250,976 $63,101 $182,056 $117,907 $177,452 $236,055 $236,742 $220,776 $205,397 $233,876 $233,876 $247,520 $205,070 $253,973 $209,240 $154,798 $221,925 $104,371 $236,829 $105,363 $175,514 $89,955 $250,723 $140,238 $222,198 $213,137 $201,876 $217,314 $232,894 $229,055 $236,936 $214,367 $197,350 $205,073 $200,713 $262,461 $226,705 $228,375 $82,019 1.5 NNNNNNN Pulululululululul" $225,885 $224,668 $228,619 $209,555 $232,219 $254,327 $69,152 $142,212 $492,114 $202,157 $177,998 $183,610 $240,639 $244,382 $169,124 $110,889 $259,999 $228,806 $254,944 $506,149 $189,736 $191,746 $217,226 $179,524 $155,929 $208,253 $241,885 $237,062 $249,250 $236,819 $252,872 $148,967 $239,301 $223,266 $230,414 $109,577 $79,893 $263,938 $238,951 $238,951 $181,140 $218,184 $218,184 $207,237 $268,260 25 19 104 2.5 114 33 33 33 114 20 1 114 16 115 1 3 25 15 Polon 2.5 154 4 SONRig 22 UHHHH 2 ww 2.5 2475 1216 2490 1322 2495 2498 2498 2498 2500 2500 2500 2500 2500 2501 2504 2505 2510 2512 1518 10 | 155 6 2.5 2.5 2.5 2.5 | NNN 3 14 63 25 4 20 3 1 1 21 3 | 63 2.5 115 72 1 39 16 0 1 7 115 3 2 83 84 85 85 74 85 16 35 51 51 51 52 1 0 14 1 1 0 130 1 10 1 66 NNNNN 1 1 3 1 2 +251 | 3 Price Price Living Area (Sq ft) #of #of Age Bedrooms Bathrooms (Years) Age (Years) ms 4 1 2.5 2.5 5 0 34 31 21 2.5 5 11 12 5 31 177 1 1 3 161 4 1 0 3 0 9 33 150 151 $223,055 152 $206,415 153 $184,108 154 $74,422 155 $220,261 156 $222,330 157 $208,635 158 $328,491 159 $132,138 160 $251,400 161 $297,174 162 $218,475 163 $256,417 164 $185,902 165 $237,583 166 $203,478 167 $227,314 168 $261,846 169 $329,484 170 $26,130 171 $284,154 172 $262,461 173 $244,443 174 $271,791 175 $247,125 176 $310,696 177 $238,832 178 $308,253 179 $318,121 2.5 2668 2676 2702 2708 2712 2712 2714 2733 1468 2741 2748 2748 2752 2756 2762 2762 2764 2772 2786 822 2808 2809 2810 2815 2835 2843 2872 2880 2892 Living #of #of Area (Sq Bedroo Bathroo ft) ms 2900 4 2.5 2906 4 2.5 2919 4 2926 4 3 2931 4 3.5 2932 4 2.5 1704 2 1 2936 2.5 2950 4 2.5 2958 4 2.5 2960 2.5 2960 2986 2988 5 29934 2 .5 29964 3001 5 2.5 3001 3003 4 3.5 3015 4 2.5 30174 3.5 3020 4 2.5 30204 2.5 30214 3026 4 4 3028 5 2.5 3030 4 2. 5L $292,524 $297,380 $312,448 $340,545 $282,655 $262,461 $77,921 $237,367 $277,235 $308,750 $304,045 $278,906 $476,301 $277,828 $265,848 $237,716 $267,731 $240,590 $391,842 $261,011 $282,289 $297,024 $272,902 $253,433 $337,918 $311,709 $265,637 1 2.5 4 4 1 0 25 0 0 173 1 2 1 88 1 0 2 2 1 21 1 1 5 0 9 5 1 400 P Price U Price X #of Bathroo Price Age (Years) 16 1.5 2.5 2 O Age (Years) 3 4 4 4 4 4 4 4 4 4 4 4 5 5 1.5 2 2.5 2.5 2.5 | 3 1 1.5 2 3 Y Age (Years) 11 11 11 11 11 11 11 11 11 11 11 12 12 12 12 12 12 12 12 12 53 12 2 5 1.5 1.5 2 2 2 1.5 1416 2.5 2.5 C D E #of #of Age Bedrooms Bathrooms (Years) 1 1 1 1 2.5 1 1 2.5 1 1 1.5 0 0 0 0 2.5 1 2.5 1 2.5 1 2.5 1 2.5 1 2.5 1 1 1 2.5 1 1 2.5 1 1.5 0 1.5 0 0 0 2.5 0 2.5 0 O 0 0 2.5 0 2.5 0 2.5 0 0 0 2.5 0 2.5 0 0 0 0 0 0 0 3 Price Living Area (Sq ft) 2 $111,394 1272 3 $124,367 1272 4 $159,843 1350 5 $161,923 1456 6 $128,040 1488 7 $123,910 1620 8 $133,595 1666 9 $145,6631 1666 1218 11 $111,3531 12 $80,5401 1380 13 $136,379 1486 14 $164,4191 1785 15 $167,6931 1876 16 $208,0481 1876 17 $228,2911 1986 18 $220,765 2058 19 $257,015 20 $235,620 2107 21 $208,339 2109 22 $175,874 1 2195 23 $189,665 2203 24 $120,639 1498 25 $120,639 1498 26 $151,917 1510 27 $173,7231 1548 28 $140,510 1590 29 $125,920 1605 B0 $168,739 1620 81 $185,323 1662 B2 $139,435 1666 33 $156,797 34 $170,600 1728 35 $204,643 1743 36 $164,623 1772 87 $157,946 1804 38 $162,0911 1806 39 $147,412 1821 70 $190,444 1 1836 41 $197,105 1894 #2 $248,204 1908 73 $184,109 1920 74 $240,890 1921 75 $226,304 | 1921 1.5 F G H I J Price Living #of #of Age Area (Sq Bedroo Bathroo (Years) $251,259 1932 3 2 0 $154,723 1944 3 2 .5 0 $213,048 2022 3 2 .5 0 $71,647 2087 2. 51 0 $206,512 | 2116 0 $173,446 2124 2.5 0 $255,303 2242 0 $243,305 2242 0 $212,846 2270 0 $357,384 2322 2.5 0 $216,841 2472 2.5 0 $209,226 2550 2.5 0 $130,518 1.5 1 $124,939 1678 2.5 1 $193,524 1730 2.5 1 $155,488 1747 2.5 1 $182,649 2.5 1 $169,876 1774 2.5 1 $150,505 1785 2.5 1 $154,528 1785 2. 5L 1 $229,761 2230 2. 5L 1 $185,487 2271 2. 5L 1 $270,841 2306 3 2.5 1 $186,605 2328 3 2.5 1 $323,819 3 1 $357,138 2618 | 1.5 1 $107,411 840 | 2 1 $142,302 1242 2 2 2 $111,436 1380 3 1.5 2 $157,411 1666 3 2.5 2 $162,631 1804 3 2.5 2 $120,115 967 2 55 $213,249 1904 2 2 2 $236,215 2066 3 2.5 2 $167,319 2088 3 2 2 $174,208 2372 2 2 $129,155 1242 2 1 2 3 $112,877 1380 3 1 3 $234,429 1470 3 2.5 3 $147,440 1590 2.5 $213,249 1643 $204,661 1927 3 $227,994 1973 2.5 $179,492 2030 3 $212,103 2170 3 K L M N Price Living #of #of Area (Sq Bedroo Bathroom $230,708 2548 3 2 .5 $111,534 1032 3 1 $144,561 1292 3 2 $236,215 3 2.5 $126,311 3 2.5 $153,129 1560 3 2 $246,976 1652 3 1.5 $200,791 1680 3 $208,743 1804 2.5 $181,979 1822 2.5 $265,515 1870 2.5 $279,522 2000 2.5 $146,611 1056 1 $120,279 1056 1 $118,949 1164 $109,578 1176 2 $93,773 1324 $123,757 3 $169,647 1430 3 $114,513 1560 3 1.5 $200,126 $158,863 1696 3 $263,408 1738 2 $188,497 1742 2.5 $190,284 1879 3 2.5 $209,371 2084 2.5 $123,834 1092 1 $139,219 2308 2 $244,441 2396 2.5 $150,798 1212 1.5 $103,672 1476 2 $145,123 1536 2 $130,490 1595 3 2 $156,164 | 1792 2. 5 1808 5 1. $168,497 1888 2 $231,749 1980 3 2 $260,485 2143 3 2.5 $578,856 2472 3 2.5 $107,919 $120,476 1120 $106,524 1148 $161,923 1158 $114,238 1164 3 $133,155 1334 1.5 V W Living #of Area (Sq Bedroom 1352 2 1416 3 1470 3 1547 3 1578 3 1582 3 1642 3 1815 3 1824 3 1984 2 2079 3 960 | 2 1040 3 1391 3 1470 3 1512 3 1512 3 1512 3 1822 3 1900 3 1244 4 21863 2738 2 1198 2 1244 2 1344 3 1420 3 1250 4 1512 3 1512 3 1512 3 1564 3 1868 3 1948 3 2038 3 2076 3 1272 4 2494 3 912 2 1034 5 2.5 Q R S T Living #of #of Age Area (Sq Bedroo Bathroom (Years) 1404 3 2 7 1512 3 5 1. 7 1536 3 2.5 7 1572 3 1. 5 7 1880 2 7 2316 3 2. 5 7 1164 3 2 8 1281 1 8 1528 3 2.5 8 1601 3 1.5 L 8 1764 3 2.5 8 1840 8 1842 1.5 8 1170 1.5 26 2152 2.5 8 2167 2.5 8 2216 3 2.5 8 1099 1 / 9 1332 1. 5 9 1423 1. 5 9 1552 5 1. 9 1592 1. 5 9 1836 2. 5 9 1940 2 / 9 2110 5 2. 9 2270 2.5 9 2380 2. 5 9 2934 3 2.5 9 988 10 1170 2 2 10 1200 10 1300 3 1 10 1196 4 1.5 56 1456 3 10 1498 3 1.5 10 1542 2.5 10 1664 3 10 1752 10 2097 10 2120 11 11 1248 11 1336 11 1348 11 F Living #of # of | Area (Sq Bedroo Bathroo 1290 3 1.5 1302 2 1 .5 1344 3 1.5 1480 2.5 1480 2.5 1480 1.5 1360 4 1480 2 2.5 1480 2 1486 3 1.5 1486 1492 2.5 1492 3 1508 3 1512 3 3 1540 1.5 1550 2 1560 1.5 1561 3 1572 3 1585 3 1592 3 1600 1668 2 1702 1380 1800 3 2.5 1812 3 2 1872 3 1886 3 1908 1924 2 2016 3 1.5 2044 3 1394 2300 2.5 2 1 3 2 $120,192 $150,909 $171,885 $143,808 $136,551 $189,912 $124,492 $101,230 $177,539 $161,839 $210,672 $108,478 $181,399 $122,221 $184,315 $193,565 $225,742 $124,939 $155,855 $150,849 $163,102 $149,078 $183,066 $200,793 $188,497 $309,808 $261,872 $329,221 $116,938 $104,084 $90,446 $92,436 $65,550 $206,512 $166,222 $116,882 $165,213 $208,610 $189,108 $210,743 $45,004 $114,513 $130,229 $160,635 $162,612 Z Price Living #of #of Area (Sq Bedroo Bathroom $148,692 1.5 $89,893 1480 $88,207 1480 3 1.5 $82,556 | 1480 $84,291 1480 2.5 $158,565 1512 $180,803 1570 $123,266 1632 1.5 $149,078 1664 1.5 $134,865 1676 $139,418 1296 $242,952 $176,698 1772 2.5 $169,343 1796 2.5 $224,928 2185 2.5 $303,599 3329 $84,291 924 $84,291 $100,938 1034 3 1.5 $130,239 1052 1.5 $78,191 1080 2 $52,360 1310 1.5 $51,183 1144 $128,273 1343 2.5 $160,995 1344 1.5 $104,412 1480 1.5 $102,806 1480 1.5 $95,260 1480 $172,795 1512 1.5 $133,067 1326 $160,571 1612 2 $102,405 1680 2 $118,007 1694 2 $45,904 1328 $115,248 1700 $158,338 1836 2.5 $187,087 | 2027 2.5 $193,565 2350 2.5 $296,708 3210 $90,354 912 $127,055 1019 $106,524 1144 $125,361 1173 $125,562 1253 $104,339 1290 $137,044 $127,385 $149,756 $172,016 $152,786 $147,425 $144,695 $180,817 $228,904 $154,238 $192,694 $50,709 $101,230 $148,246 $148,496 $178,216 $178,216 $159,175 $171,171 $139,800 $96,958 $355,529 $224,818 $109,040 $140,269 $26,049 $135,526 $183,657 $132,311 $131,411 $144,571 $131,165 $187,003 $193,497 $218,517 $209,371 $83,617 $212,932 $115,312 $103,408 $91,386 $98,652 $120,476 $130,782 $143,697 Age (Years) 14 14 14 14 14 14 14 14 14 14 51 14 14 14 14 14 15 15 15 15 15 120 15 15 15 15 15 15 15 7 15 15 15 103 15 15 15 15 15 16 16 16 16 16 16 5 2.5 $137,220 $102,086 $103,258 $133,155 $127,740 $98,790 $143,294 $94,064 $98,256 $103,958 $116,321 $101,708 $103,256 $152,404 $129,427 $155,787 $155,787 $171,885 $103,508 $159,786 $118,952 $170,567 $107,049 $80,248 $147,625 $197,581 $94,868 $231,298 $172,789 $167,253 $163,191 $279,083 $181,516 $142,420 $161,562 $130,757 $236,936 $91,792 $115,566 $127,303 $101,997 $94,774 $160,571 $104,084 $106,524 3 1.5 2 5 5 5 5 72 5 5 6 6 6 6 1.5 5 1.5 1 1.5 3 3 3 2 2.5 1.5 2.5 3 6 6 13 13 13 13 43 13 13 13 13 13 13 13 13 115 13 14 14 14 14 14 14 14 2.5 2.5 2.5 1.5 6 6 6 6 2.5 2.5 2.5 1 10 10 2.5 2 NNN 1158 1248 1274 1376 1214 1240 1294 1302 1308 15 3 3 7 3 17 A B Living Area (Sq ft) Price C D E #of # of Age Bedrooms Bathrooms (Years) J | Age (Years) O Age (Years) Price Q R S Living #of #of Area (Sq Bedroo Bathroom Price T Age (Years) Price Y Age (Years) # of Bathroo AD Age (Years) Age (Years) 49 ft) ft) 19 36 1.5 1.5 2 4 18 18 18 18 1.5 1.5 1.5 19 19 1 21 41 50 21 21 26 61 1.5 1.5 1.5 1.5 1.5 1.5 1.5 1.5 1.5 31 31 31 31 31 31 31 31 18 19 1.5 19 20 1.5 21 2.5 1.5 1.5 1.5 $10791 1.5 1.5 1.5 1.5 2.5 31 17 17 17 17 17 17 17 17 17 17 17 17 17 17 54 17 17 17 17 17 1.5 1.5 2.5 32 18 18 18 18 18 18 18 18 18 18 18 19 32 31 1.5 1.5 32 AF AG AH Living # of # of Area (Sq Bedroo Bathroo ms 1740 3 1.5 1782 1856 2176 864 912 1248 1496 1612 1664 1736 1794 1856 1008 1116 864 1802 924 1040 1363 1708 1806 $141,760 $148,203 $122,257 $260,887 $126,010 $94,064 $139,079 $134,933 $143,768 $166,335 $114,590 $159,920 $148,401 $107,513 $200,940 $147,634 $107,695 $65,615 $117,287 $49,564 $74,422 $200,510 000 1.5 1.5 1.5 1.5 2.5 1.5 1.5 2.5 2.5 1.5 912 NIN G H I Price Living #of #of Area (Sq Bedroo Bathroo ms ms $138,914 1576 1.5 $126,082 1592 1.5 $126,082 1592 1.5 $118,517 1592 $146,978 1656 $173,082 1656 $150,502 1668 $104,556 1673 $104,556 1673 $257,499 1675 $170,534 1820 $175,784 1837 $162,984 1872 $110,963 1888 $191,988 2096 $206,480 2310 $79,567 908 $79,116 1908 $77,547 908 $75,606 $81,762 912 $104,651 912 $94,584 1924 $93,200 1924 $99,045 937 $101,375 960 $185,318 1500 $92,932 988 $67,951 1040 $93,815 1184 $100,003 1184 $97,476 1219 $118,409 $90,446 1256 1.5 $92,519 1281 VIUU,306 1314 $125,361 1326 1.5 $133,215 1364 1.5 $98,632 1406 $96,934 1480 $104,084 1480 $89,306 1480 $108,593 1480 $137,606 1508 $128,434 1508 1.5 50 $110,115 51 $93,846 52 $87,588 53 $122,257 54 $240,857 55 $135,708 56 $115,771 57 $119,751 58 $100,839 59 $93,895 60 $117,703 61 $114,514 62 $85,939 63 $135,167 64 $116,862 65 $162,006 66 $154,696 67 $160,349 68 $179,572 69 $151,950 70 $173,102 71 $124,585 72 $148,967 73 $96,004 74 $100,397 75 $98,333 76 $86,651 77 $184,515 78 $111,264 79 $102,801 80 $98,389 81 $98,389 82 $116,589 83 $107,743 84 $102,530 85 $113,600 86 $112,153 87 $99,311 88 $121,279 89 $115,401 90 $160,692 91 $152,112 92 $146,626 93 $110,963 94 $143,252| L M N Living Living #of of #of Area (Sq Bedroo Bathroom ms 1514 3 1.5 1656 3 1720 1512 1811 2.5 1831 2144 912 912 912 912 912 1536 924 988 988 1184 1184 1274 1314 1336 1364 1375 1375 1422 1428 1551 1475 1479 1480 1508 1530 1554 1652 2116 2628 1561 3319 3457 2.5 908 929 976 1168 1184 1228 1385 1385 1392 1400 1445 1460 1479 1480 1480 1480 1492 1514 1527 1610 1456 1656 1704 1732 1736 1792 1896 1468 2208 912 912 912 1140 1472 1142 1184 1184 1184 1184 1184 1202 1240 1270 1281 1348 1480 1500 1512 1561 1568 1568 19 19 19 19 19 19 19 1.5 21 21 21 22 22 22 22 22 22 81 23 23 23 23 35 23 24 24 24 24 83 24 25 25 25 U Price Living #of Area (Sq Bedroom ft! $133,688 1780 12 $163,652 1908 $154,432 1644 $198,622 2024 $121,973 2268 $163,781 1124 $97,739 1276 $107,912 1308 $112,649 1350 $145,123 1372 $140,602 1693 $189,836 1726 $166,888 1740 $137,127 1892 $198,969 1938 $153,850 2400 $111,221 1056 $129,155 | 1260 $126,311 1370 $138,424 1673 $160,007 1665 $213,901 | 1680 $156,820 1720 $125,029 1836 $151,950 1890 $119,937 2028 $150,434 1666 $111,702 878 $116,795 1404 $59,043 1668 $106,950 1472 $107,306 1276 $121,798 1308 $205,950 1474 $210,081 1596 $128,040 1688 $143,294 | 1918 $129,470 2088 $147,517 1680 $202,836 2284 $115,659 1242 3 $99,574 1628 2 $55,8171688 5 $146,981 1832 $99,463 912 3 $108,958 $157,370 $163,310 $119,875 $163,728 $187,026 $196,846 $85,585 $111,239 $92,852 $95,708 $95,708 $63,852 $99,082 $100,967 $75,399 $102,003 $106,365 $144,335 $112,825 $81,580 $119,389 $107,892 $112,400 $115,649 $196,512 $137,540 $135,820 $136,203 $110,182 $152,786 $137,508 $140,701 $150,772 $232,934 $207,751 $159,313 $269,063 $378,465 $105,035 $91,672 $69,876 $102,806 $104,984 $107,743 1.5 2.5 Z AA AB AC Price Living #of # of Area (Sq Bedroo Bathroom ms $103,262 1176 2 1.5 $116,170 1272 3 1 $134,378 1279 $134,865 1500 1.5 $111,546 1560 $141,029 1874 2.5 $154,499 1886 $142,907 1920 $330,219 2576 2.5 $108,421 | 1288 $133,199 1716 2 $122,221 1440 $153,013 1720 $178,760 2014 $137,309 1092 $109,259 1239 $132,088 1368 1 $137,681 1728 1.5 $150,581 1664 2 $94,667 912 $148,585 1734 $156,530 1734 $106,659 936 $92,519 1368 $122,796 1612 $157,476 1664 $113,740 1920 $118,585 936 $124,669 1092 $143,210 1744 $123,827 1302 $135,011 1327 2 $101,227 1754 $139,079 1400 $148,989 792 $161,190 1758 2 $136,499 1152 $126,010 1760 $113,367 1760 $139,104 1760 $113,371 1177 $452,745 1764 $455,140 1764 $133,612 1768 $198,622 16162 2 $103,633 $79,982 $88,092 $103,677 $101,193 $146,611 $91,672 $148,231 $106,117 $135,901 $282,373 $75,094 $88,092 $94,405 $108,785 $221,263 $175,084 $72,189 $87,852 $101,230 $130,917 $298,549 $152,466 $432,845 $119,858 $119,001 $156,606 $129,868 $150,434 $135,011 $89,432 $126,049 $108,459 $145,583 $77,650 $212,103 $136,192 $119,784 $149,933 $103,861 $139,079 $179,524 $150,022 $129,609 $111,875 33 33 33 12 33 34 34 29 34 34 1314 1572 1572 1375 1375 1580 1392 1475 1480 1508 2793 728 929 1375 1480 2000 2214 1594 976 1032 1456 2310 1600 3250 1476 1506 1756 1792 1611 2488 1132 1268 1292 1376 1620 1400 1623 1560 1664 1700 1719 1632 1632 1635 1758 2.5 17 25 25 20 25 25 26 26 26 26 26 26 26 26 26 26 26 27 27 27 27 27 27 27 27 27 27 38 28 28 115 28 29 29 29 29 29 29 29 27 29 30 30 119 30 31 $113,796 960 1.5 | 1.5 1.5 19 34 1.5 1.5 1.5 N $105,843 $113,514 $163,524 1.5 1.5 972 1142 2516 1.5 19 208 19 19 $146,161 984 15 1.5 19 19 19 19 19 19 19 25 1.5 110 35 36 26 36 37 133 135 2.5 1.5 2.5 1.5 $153,590 1820 $101,375 1820 $81,762 1008 $168,065 1016 $247,639 1016 $114,326 1053 $157,430 1092 $145,147 1832 $128,717 1215 $112,153 1834 $109,578 1342 $116,289 1107 $101,258 1232 $157,055 1836 $107,766 1272 $161,473 1560 $93,174784 $104,984 1144 17 25 18 | 18 18 18 18 18 18 18 19 19 19 19 19 19 19 19 19 HANNN 20 21 21 21 21 21 21 25 36 25 25 25 25 20 30 52 25 1 1.5 2 2.5 2.5 3 85 86 48 36 1.5 1.5 2 1.5 3 1. 51 1 AG Price Living #f # of Price #of #of Age Bedrooms Bathrooms (Years) ace Age (Years) Price Living to Age Age (Years) Price Living Age Price Price Living # of Bathroo Age Age (Years) Price Price Living Age Age (Years) Price Living * * Age (Years) Ase Area (Sq Bedroo Bathroo #of #of Bedroo Bathroom ms 3 1.5 2 1.5 ms ms ms 4 2.5 | 2.5 1 52 53 2.5 2.5 2 66 66 35 1 16 37 147 16 44 1 54 67 | 1 110 112 0 0 24 113 18 17 in ununun |-|| 18 68 1 | 25 | | | //| | 2 | 1.5 | | 2222 2.5 2.5 0 0 36 19 6 113 | 25 ): | t Living #of #of Area (Sq Bedroo Bathroom ft) ms 2359 4 2367 2.5 1540 2376 2.5 1334 1.5 2388 2394 1628 2396 4 1295 2402 2405 2412 2421 2425 2434 2.5 2434 2.5 2445 2460 2.5 2464 2464 2.5 2470 2472 1463 3 2472 4 25 25 2.5 113 114 31 36 2.5 25 Price Living Area (Sq ft) 98 99 $261,647 1850 100 $101,418 1852 101 $104,749 1852 102 $167,145 1852 103 $118,468 1298 104 $150,909 1374 105 $134,266 1501 106 $71,904 957 107 $99,491 1064 108 $94,486 1150 109 $153,129 1872 110 $114,827 1332 111 $64,174 672 112 $140,945 1873 113 $174,940 1126 114 $152,491 1875 115 $102,806 1248 116 $109,633 775 117 $75,862 995 118 $104,267 1056 119 $76,342 896 120 $89,893 960 121 $161,118 1887 122 $93,895 960 123 $97,783 1061 124 $151,950 1890 125 $80,130 1225 126 $119,840 1411 127 $90,678 957 128 $130,239 1586 129 $140,765 1596 130 $138,297 1800 131 $210,646 1994 132 $373,227 2058 133 $199,733 840 134 $338,596 1908 135 $157,513 1910 136 $173,639 1910 137 $161,496 1910 138 $172,795 1910 139 $156,679 1911 140 $89,232 960 141 $126,436 1216 142 $253,545 1498 143 $326,330 | 1326 46 47 47 47 48 48 27 48 48 3 $130.650 $62,105 $137,508 $111,633 $74,421 $122,044 $193,774 $473,938 $54,210 $49,211 $181,225 $135,823 $93,174 $135,526 $170,345 $117,164 $189,776 $173,794 $198,083 $198,622 $60,309 $109,042 $139,627 $69,814 $104,328 $130,574 $98,423 $146,609 $187,701 $107,973 $154,314 $205,947 $178,851 $172,315 $210,081 $162,913 $199,990 $186,348 $116,589 $129,723 $139,079 $224,888 $205,950 $146,329 $154,829 2110 1228 1164 1564 1928 1637 1932 780 792 800 1944 1946 1022 1952 1952 1536 1964 1970 1971 1971 2039 880 1980 840 898 1600 1355 1989 1992 1388 1466 1224 2002 2008 2008 2011 2011 2011 1322 1593 1608 1200 2024 2026 1440 Living Area (Sq ft) 1536 1954 2035 1096 2039 813 2040 2040 2043 912 2050 2056 2056 2058 882 882 2064 2066 1404 2066 2068 2068 1544 2078 1172 1209 2086 2086 990 1216 2088 1664 2092 1064 847 1360 2103 1653 1800 1235 1428 1548 2116 1859 2119 $247,839 $242,955 $182,068 $104,984 $163,986 $65,325 $187,104 $127,394 $84,333 $119,166 $180,927 $172,814 $215,824 $286,474 $102,287 $44,873 $196,603 $180,032 $122,229 $194,877 $85,560 $202,836 $108,002 $160,007 $102,068 $123,064 $190,856 $196,875 $55,851 |$216,018 $190,983 $60,238 $260,228 $177,124 $300,931 $99,903 $229,915 $66,027 $110,738 $47,630 $114,519 $97,682 $104,412 $261,301 $201,616 Price Living #of # of Age Price Living #of Area (Sq Bedroo Bathroom (Years) Area (Sq Bedroom ft) ft) $207,347 2119 4 2.5 14 $87,852 $202,527 2120 4 2.5 9 $111,809 1711 3 $165,957 1212 87 $199,684 2275 $108,794 1464 87 $194,880 2278 $118,409 2128 7 $261,031 2280 $134,171 2133 34 $126,498 720 $40,932 1320 90 $205,950 2284 $88,770 1000 $206,688 2284 $207,018 2147 $214,749 2286 $189,995 2150 104 $178,767 2291 $217,797 1386 $234,954 2294 $176,618 2162 $180,288 2294 $105,363 1100 93 $184,315 2296 $113,444 1656 94 $235,105 2299 $62,938 1064 95 $146,471 892 $112,509 1138 98 $191,790 2304 $68,353 1216 | 101 $114,070 1098 2 $142,057 952 102 $99,311 | 690 $44,674 1214 103 $181,140 2310 $178,140 2200 1 $175,514 2310 $202,751 2202 2.5 6 $229,180 2310 $121,680 1412 103 $180,670 2310 $181,516 22041 31 $155,414 2310 $128,440 1554 103 $73,892 864 $184,654 2212 18 $169,407 2310 $57,678 924 1 104 $157,081 2310 $152,822 1043 104 $163,992 2310 $218,734 2219 15 $110,770 911 $199,187 2223 9 $167,975 2311 $174,534 2226 2.5 31 $197,956 2314 $171,171 1784 104 $120,476 2238 $50,483 743 105 $189,654 2320 $79,170 1536 105 $109,249 812 $110,234 1652 105 $201.928 2322 $232,989 2248 2.5 7 $219,262 2327 $176,846 2249 4 2.5 1 $211,517 2328 $238,792 2250 4 10 $166,019 1110 $202,800 2250 4 2 $268,783 2329 5 $140,658 2254 31 $206,931 2331 $122,082 2256 1.5 124 $163,478 2334 $160,426 2262 2 21 $233,714 2338 $182,334 | 2262 2.5 24 $244,124 2346 4 $212,830 2266 2.5 0 $283,851 2346 4 $64,552 1298 3 1 106 $240,872 2348 4 $69,463 1170 | 2 | 1 110 $102,626 12271 3 31 72 33 Living #of #of Area (Sq Bedroo Bathroo ft) ms 25244 2526 2527 2539 2541 2541 986 1982 2563 2564 2564 2570 2572 2572 2576 1266 2577 2577 4 2579 2.5 2586 2588 1666 2593 2600 2601 2602 2604 2604 2604 2608 2612 1864 2619 2619 2623 1456 2634 2641 1 4 2641 2641 2648 2655 2655 2656 2657 | $196,317 $189,654 $31,113 $240,952 $189,654 $216,530 $250,976 $63,101 $182,056 $117,907 $177,452 $236,055 $236,742 $220,776 $205,397 $233,876 $233,876 $247,520 $205,070 $253,973 $209,240 $154,798 $221,925 $104,371 $236,829 $105,363 $175,514 $89,955 $250,723 $140,238 $222,198 $213,137 $201,876 $217,314 $232,894 $229,055 $236,936 $214,367 $197,350 $205,073 $200,713 $262,461 $226,705 $228,375 $82,019 1.5 NNNNNNN Pulululululululul" $225,885 $224,668 $228,619 $209,555 $232,219 $254,327 $69,152 $142,212 $492,114 $202,157 $177,998 $183,610 $240,639 $244,382 $169,124 $110,889 $259,999 $228,806 $254,944 $506,149 $189,736 $191,746 $217,226 $179,524 $155,929 $208,253 $241,885 $237,062 $249,250 $236,819 $252,872 $148,967 $239,301 $223,266 $230,414 $109,577 $79,893 $263,938 $238,951 $238,951 $181,140 $218,184 $218,184 $207,237 $268,260 25 19 104 2.5 114 33 33 33 114 20 1 114 16 115 1 3 25 15 Polon 2.5 154 4 SONRig 22 UHHHH 2 ww 2.5 2475 1216 2490 1322 2495 2498 2498 2498 2500 2500 2500 2500 2500 2501 2504 2505 2510 2512 1518 10 | 155 6 2.5 2.5 2.5 2.5 | NNN 3 14 63 25 4 20 3 1 1 21 3 | 63 2.5 115 72 1 39 16 0 1 7 115 3 2 83 84 85 85 74 85 16 35 51 51 51 52 1 0 14 1 1 0 130 1 10 1 66 NNNNN 1 1 3 1 2 +251 | 3 Price Price Living Area (Sq ft) #of #of Age Bedrooms Bathrooms (Years) Age (Years) ms 4 1 2.5 2.5 5 0 34 31 21 2.5 5 11 12 5 31 177 1 1 3 161 4 1 0 3 0 9 33 150 151 $223,055 152 $206,415 153 $184,108 154 $74,422 155 $220,261 156 $222,330 157 $208,635 158 $328,491 159 $132,138 160 $251,400 161 $297,174 162 $218,475 163 $256,417 164 $185,902 165 $237,583 166 $203,478 167 $227,314 168 $261,846 169 $329,484 170 $26,130 171 $284,154 172 $262,461 173 $244,443 174 $271,791 175 $247,125 176 $310,696 177 $238,832 178 $308,253 179 $318,121 2.5 2668 2676 2702 2708 2712 2712 2714 2733 1468 2741 2748 2748 2752 2756 2762 2762 2764 2772 2786 822 2808 2809 2810 2815 2835 2843 2872 2880 2892 Living #of #of Area (Sq Bedroo Bathroo ft) ms 2900 4 2.5 2906 4 2.5 2919 4 2926 4 3 2931 4 3.5 2932 4 2.5 1704 2 1 2936 2.5 2950 4 2.5 2958 4 2.5 2960 2.5 2960 2986 2988 5 29934 2 .5 29964 3001 5 2.5 3001 3003 4 3.5 3015 4 2.5 30174 3.5 3020 4 2.5 30204 2.5 30214 3026 4 4 3028 5 2.5 3030 4 2. 5L $292,524 $297,380 $312,448 $340,545 $282,655 $262,461 $77,921 $237,367 $277,235 $308,750 $304,045 $278,906 $476,301 $277,828 $265,848 $237,716 $267,731 $240,590 $391,842 $261,011 $282,289 $297,024 $272,902 $253,433 $337,918 $311,709 $265,637 1 2.5 4 4 1 0 25 0 0 173 1 2 1 88 1 0 2 2 1 21 1 1 5 0 9 5 1 400
Step by Step Solution
There are 3 Steps involved in it
Get step-by-step solutions from verified subject matter experts
