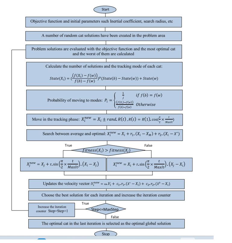
Question: This flowchart belongs to the Cat hunting optimisation algorithm. Can you simplify this flowchart and make it easier to understand? Please write the result as
This flowchart belongs to the Cat hunting optimisation algorithm. Can you simplify this flowchart and make it easier to understand? Please write the result as well.
Step by Step Solution
There are 3 Steps involved in it
1 Expert Approved Answer
Step: 1 Unlock
Question Has Been Solved by an Expert!
Get step-by-step solutions from verified subject matter experts
Step: 2 Unlock
Step: 3 Unlock
