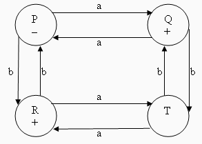
Question: This for a FSA - TRUE or FALSE For the alphabet, = {a, b}: Question 1: The string aaabbb is accepted by the above automaton.
This for a FSA -
TRUE or FALSE
For the alphabet,
= {a, b}:

Question 1: The string aaabbb is accepted by the above automaton.
Question 2: Using the finite state automaton from Question 1, this automaton accepts some words with an even number of a's.
Question 3: Using the fsa from Question 1, the string ababb is accepted by this automaton.
Question 4: Using the finite state automaton from Question 1, if a string w is accepted by this automaton, then the string wba is always accepted.
Step by Step Solution
There are 3 Steps involved in it
Get step-by-step solutions from verified subject matter experts
