Question: This is a 3 part partial differential equations problem dealing with finite fourier transform. Please provide the answer typed out but if handwritten please write
This is a 3 part partial differential equations problem dealing with finite fourier transform. Please provide the answer typed out but if handwritten please write clearly so I read it without asking questions. Be sure to label answers to parts 1,2, and 3 clearly.
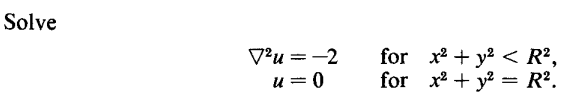
Part 1:

Part 2:

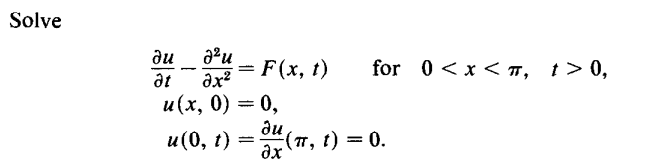
Part 3:

Solve V?u= y(1 - y) sin x for 0 0, at ? , 0) = 0, (0, t) = (, () = 0. Solve V?u= y(1 - y) sin x for 0 0, at ? , 0) = 0, (0, t) = (, () = 0
Step by Step Solution
There are 3 Steps involved in it
Get step-by-step solutions from verified subject matter experts
