Question: This is a 4 Part Question. If you could please help me find the answers, and show the work as to how you get the
This is a 4 Part Question. If you could please help me find the answers, and show the work as to how you get the solutions. (I also attached the table charts that can be helpful). Thank you.








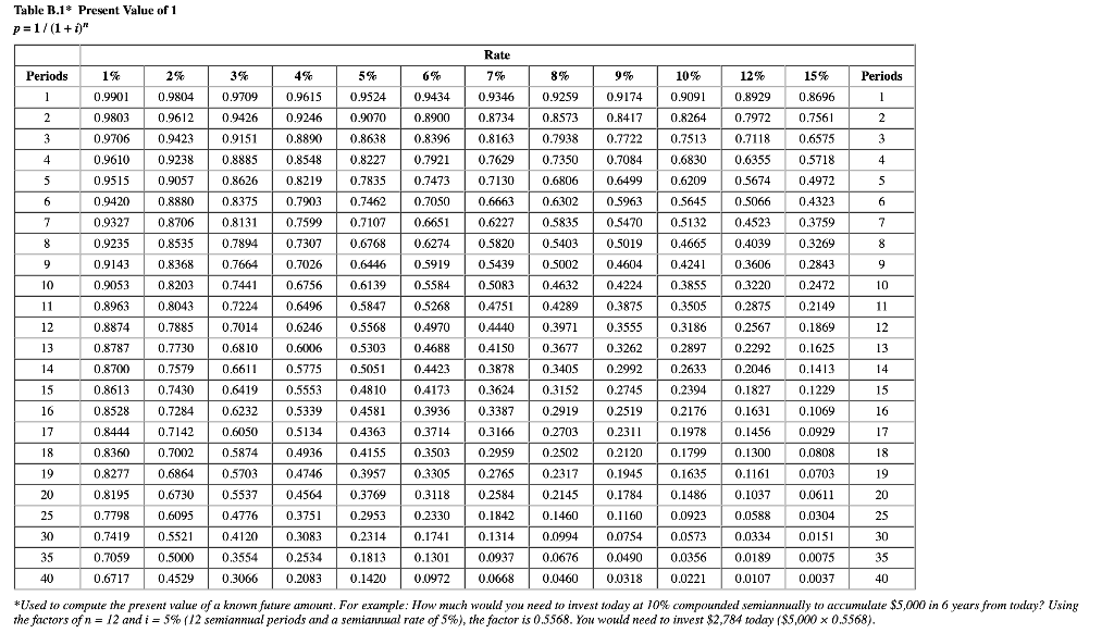
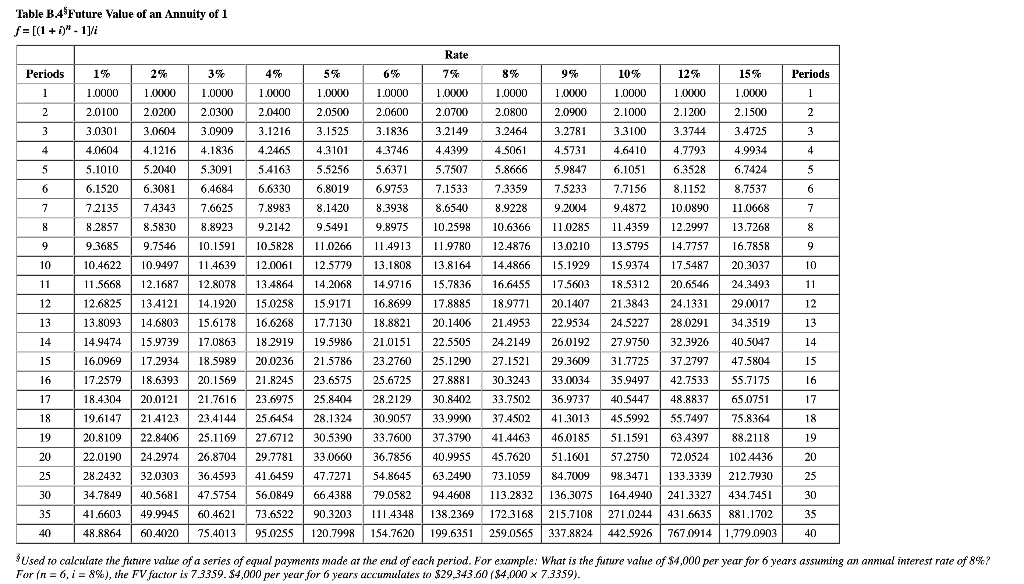
Required information Problem 24-2A (Algo) Payback period, accounting rate of return, net present value, and net cash flow calculation LO P1, P2, P3 (The following information applies to the questions displayed below.) Project Y requires a $339,000 investment for new machinery with a four-year life and no salvage value. The project yields the following annual results. Cash flows occur evenly within each year. (PV of $1, FV of $1, PVA of $1, and FVA of $1) (Use appropriate factor(s) from the tables provided.) Project Y $360,000 Annual Amounts Sales of new product Expenses Materials, labor, and overhead (except depreciation) Depreciation-Machinery Selling, general, and administrative expenses Income 161,280 84,750 26,000 $ 87,970 Problem 24-2A (Algo) Part 1 Required: 1. Compute Project Y's annual net cash flows. Annual amounts Income Cash Flow Sales of new product $ 360,000 161,280 Expenses Materials, labor, and overhead (except depreciation) Depreciation-Machinery Selling, general, and administrative expenses 84,750 26,000 Income $ 87,970 Net cash flow $ 0 Problem 24-2A (Algo) Part 2 2. Determine Project Y's payback period. Payback Period Numerator: Denominator: 1 = Payback Period Project Y II 0 Problem 24-2A (Algo) Part 3 3. Compute Project Y's accounting rate of return. Accounting Rate of Return Numerator: Denominator: / = Accounting Rate of Return Project Y Problem 24-2A (Algo) Part 4 4. Determine Project Y's net present value using 8% as the discount rate. (Do not round intermediate calculations. Round your present value factor to 4 decimals and final answers to the nearest whole dollar.) Net Cash Flows Present Value of Annuity at 8% = Present Value of Net Cash Flows Years 1-6 Net present value Table B.1* Present Value of 1 p=1/(1+1)" HA Rate Periods 1% 2% 3% 4% 5% 6% 7% 8% 9% 10% 12% 15% Periods 1 0.9901 0.9804 0.9709 0.9615 0.9524 0.9434 0.9346 0.9259 0.9174 0.9091 0.8929 0.8696 1 2 0.9803 0.9612 0.9426 0.9246 0.9070 0.8900 0.8734 0.8573 0.8417 0.8264 0.7972 0.7561 2 2 3 0.9706 0.9423 0.9151 0.8890 0.8638 0.8396 0.8163 0.7938 0.7722 0.7513 0.7118 0.6575 3 4 0.9610 0.9238 0.8885 0.8548 0.8227 0.7921 0.7629 0.7350 0.7084 0.6830 0.6355 0.5718 4 5 0.9515 0.9057 0.8626 0.8219 0.7835 0.7473 0.7130 0.6806 0.6499 0.6209 0.5674 0.4972 5 6 0.9420 0.8880 0.8375 0.7903 0.7462 0.7050 0.6663 0.6302 0.5963 0.5645 0.5066 0.4323 6 7 0.9327 0.8706 0.8131 0.7599 0.7107 0.6651 0.6227 0.5835 0.5470 0.5132 0.4523 0.3759 7 8 0.9235 0.8535 0.7894 0.7307 0.6768 0.6274 0.5820 0.5403 0.5019 0.4665 0.4039 0.3269 8 8 9 0.9143 0.8368 0.7664 0.7026 0.6446 0.5919 0.5439 0.5002 0.4604 0.4241 0.3606 0.2843 9 10 0.9053 0.8203 0.7441 0.6756 0.6139 OSSR4 0_5083 0.4632 0.4224 0.3855 0.3220 0.2472 10 11 0.8963 0.8043 0.7224 0.6496 0.5847 0.5268 0.4751 0.4289 0.3875 0.3505 0.2875 0.2149 11 12 0.8874 0.7885 0.7014 0.6246 0.5568 0.4970 0.4440 0.3971 0.3555 0.3186 0.2567 0.1869 12 13 0.8787 0.7730 0.6810 0.60X06 0.5303 0.4688 0.4150 0.3677 0.3262 0.2897 0.2292 0.1625 13 14 0.870X 0.7579 0.6611 0.5775 0.5051 0.4423 0.3878 0.3405 0.2992 0.2633 0.2046 0.1413 14 15 0.8613 0.7430 0.6419 0.5553 0.4810 (4123 0.3624 0.3152 0.2745 0.2394 0.1827 0.1229 15 16 0.8528 0.7284 0.6232 0.5339 0.4581 0.3936 0.3387 0.2919 0.2176 0.1631 0.1069 16 17 0.8444 0.7142 0.6050 0.5134 0.4363 0.3714 0.3166 0.2703 0.2311 0.1978 0.1456 0.0929 17 18 0.8360 0.7002 0.5874 0.4936 0.415S 0.3503 0.2959 0.2502 0.2120 0.1799 0.1300 0.0808 18 19 0.8277 0.6864 0.5703 0.4746 0.3957 0.3305 0.2765 0.2317 0.1945 0.1635 0.1161 0.0703 19 20 0.8195 0.6730 0.5537 0.4564 0.3769 0.3118 0.2584 0.2145 0.1784 0.1486 0.1037 0.0611 20 25 0.7798 0.6095 0.4776 0.3751 0.2953 0.2330 0.1842 0.1460 0.1160 0.0923 0.0588 0.0304 25 30 0.7419 0.5521 0.4120 0.3083 0.2314 0.1741 0.1314 0.0994 0.0754 0.0573 0.0334 0.0151 30 35 0.7059 0.5000 0.3554 0.2534 0.1813 0.1301 0.0937 0,0676 0.0490 0.0356 0.0189 0,0075 35 41) 0.4529 0.3066 0.2083 0.1420 0.0972 0.0668 0.0460 0.0318 0.0221 0.0107 0.0037 40 *Used to compute the present value of a known future amount. For example: How much would you need to invest today at 10% compounded semiannually to accumulate $5,000 in 6 years from today? Using the factors of n = 12 and i = 5% (12 semiannual periods and a semiannual rate of 5%), the factor is 0.5568. You would need to invest $2,784 today ($5,000 x 0.5568). 0.2519 0.6717 Table B.2 Future Value of 1 f=(1 + i)" Rate 1% 2% 3% 4% 5% 6% 7% 8% 9% 10% 12% 15% Periods 0 Periods 0 1.0000 1.0000 1.XXXO 1.0000 1.0000 1.0000 1.0000 1.0000 1.0000 1.0000 1.0300 1.0000 1.0600 1.0000 1.0700 1 1.0100 1.0200 1.0400 1.0500 1.0800 1.0900 1.1000 1 1.1200 1.2544 1.1500 1.3225 1.0609 1.1025 1.2100 2 2 2 3 1.0201 1.0303 1.0406 1.0404 1.0612 1.0824 1.0816 1.1249 1.1236 1.1910 1.1449 1.2250 1.1664 1.2597 1.1881 1.2950 1.0927 1.1576 1.3310 1.4049 1.5209 3 4 1.1255 1.1699 1.2155 1.2625 1.3108 1.3605 1.4116 1.4641 1.7490 4 1.5735 1.7623 5 1.0510 1.1593 1.2167 1.3382 1.4026 1.4693 1.5386 5 1.2763 1.3401 1.1041 1.1262 1.1487 1.6105 1.7716 2.0114 2.3131 1.0615 1.2653 1.4185 1.5007 1.5869 1.6771 6 7 6 1.9738 2.2107 1.3159 1.4071 1.5036 1.7138 1.8280 1.9487 2.6600 7 8 1.3686 1.1941 1.2299 1.2668 1.3048 1.3439 1.8509 2.4760 1.0721 1.0829 1.0937 1.1046 8 1.4775 1.5513 1.6058 1.7182 1.8385 1.9672 1.9926 2.1719 1.5938 1.6895 1.7908 2.1436 2.3579 3.0590 3.5179 9 14233 1.1717 1.1951 1.2190 1.2434 1.9990 2.7731 9 9 10 2.1589 2.3674 3.1058 10 1.4802 1.5395 1.6289 1.7103 2.5937 2.8531 4.0456 4.6524 11 1.1157 1.3842 1.8983 2.1049 2.3316 2.5804 3.4785 11 12 1.1268 1.2682 1.4258 1.6010 1.7959 2.2522 2.8127 12 2.0122 2.1329 3.1384 3.4523 3.8960 4.3635 13 1.1381 1.4685 1.6651 2.5182 2.7196 2.9372 1.8856 1.2936 1.3195 13 5.3503 6.1528 7.0757 14 1.1495 1.7317 1.9799 3.7975 3.0658 3.3417 3.6425 4.8871 1.S126 1. SSRO 14 2.2609 2.3966 2.4098 2.5785 2.7590 2.9522 15 15 1.1610 1.1726 1.3459 1.3728 1.8009 1.8730 2.0789 2.1829 3.1722 3.4259 5.4736 6.1304 8.1371 9.3576 16 1.6047 16 2.5404 2.6928 3.9703 4.3276 17 1.1843 1.9479 3.1588 3.7000 17 4.1772 4.5950 5.0545 S.5599 6.1159 1.4002 1.4282 1.4568 2.2920 2.4066 1.6528 1.7024 1.7535 6.8660 7.6900 18 10.7613 12.3755 1.1961 2.0258 2.8543 4.7171 18 3.3799 3.6165 3.9960 4.3157 19 2.1068 2.5270 3.0256 5.1417 8.6128 14.2318 19 1.2081 1.2202 20 1.4859 2.1911 2.6533 3.2071 3.8697 5.6044 6.7275 9.6463 20 4.6610 6.8485 25 1.2824 1.8061 2.0938 2.4273 1.6406 3.3864 5.4274 8.6231 10.8347 25 2.6658 3.2434 4.2919 5.7435 16.3665 32.9190 66.2118 133.1755 1.3478 1.8114 4.3219 7.6123 10.0627 13.2677 30 30 35 17.0001 29.9599 52.7996 93,0510 1.4166 1.9999 2.2080 35 2.8139 3.2620 3.9461 4.8010 5.5160 7.0400 7.6861 10.2857 10.6766 14.9745 17.4494 28.1024 45.2593 14.7853 21.7245 20.4140 31.4094 40 1.4889 267.8635 40 Used to compute the future value of a known present amount. For example: What is the accumulated value of $3,000 invested today at 8% compounded quarterly for 5 years? Using the factors of n = 20 and i = 2% (20 quarterly periods and a quarterly interest rate of 2%), the factor is 1.4859. The accumulated value is $4,457.70 ($3,000 1.4859). Table B.3 Present Value of an Annuity of 1 p= [1 - 1/(1+1)"1/1 Rate 7% Periods 1% 2% 3% 4% 5% 6% 8% 9% 10% 12% 15% Periods 1 0.9901 0.9709 0.9615 0.9434 0.9346 0.9259 0.9174 0.9091 0.8929 0.8696 1 2 1.9704 0.9804 1.9416 2.8839 1.9135 1.8861 1.8334 2 0.9524 1.8594 2.7232 3.5460 1.7833 2.5771 1.7355 2.4869 1.6901 2.4018 3 1.8080 2.6243 3.3872 1.6257 2.2832 2.9410 2.8286 1.7591 2.5313 3.2397 2.7751 2.6730 3 _ 4 3.9020 3.8077 3.7171 3.6299 3.4651 3.3121 3.1699 3.0373 4 4 S 4.8534 4.1002 3.8897 3.7908 4.7135 5.6014 S 4.5797 5.4172 4.4518 5.2421 4.3295 5.0757 4.2124 4.9173 3.9927 4.6229 2.8550 3.3522 3.7845 3.6048 4.1114 6 5.7955 4.7665 6 7 6.0021 5.7864 5.5824 5.3893 5.2064 4.5638 4.4859 5.0330 5.5348 6.7282 7.6517 4.1604 4.3553 4.8684 5.3349 6.4720 7.3255 7 6.2303 7.0197 7.7861 8 6.7327 6.4632 6.2098 5.7466 4.9676 8 5.9713 6.SIS2 9 8.5660 8.1622 7.4353 6.8017 5.7590 5.3282 7.1078 7.7217 9 6.2469 6.7101 4.4873 4.7716 5.0188 10 9.4713 8.5302 8.1109 6.1446 5.9952 6.4177 6,8052 8.9826 9.7868 10 7.3601 7,8869 5.6502 5.9377 11 10.3676 9.2526 7.0236 7.4987 7.9427 8.7605 8.3064 7.1390 5.2337 11 12 11.2551 9.9540 8.8633 8.3838 10.5753 11.3484 12 7.5361 7.9038 6.4951 6.8137 7.1034 7.1607 7.4869 6.1944 6.4235 5.4206 5.5831 13 12.1337 9.3936 8.3577 13 8.8527 9.2950 14 10.6350 11.2961 11.9379 12.1062 8.7455 7.3667 6.6282 14 9.3851 9.9856 10.5631 11.1184 11.6523 12.1657 15 7.7862 8.0607 13.0037 13.8651 14.7179 15.5623 9.8986 10.3797 10.8378 6.8109 12.8493 13.5777 8.2442 8.5595 8.8514 15 9.7122 10.1059 9.1079 9.4466 5.7245 5.8474 5.9542 7.6061 7,8237 16 12.5611 8.3126 6.9740 16 17 9.1216 8.0216 7.1196 17 14.2919 14.9920 13.1661 13.7535 11.2741 11.6896 10.4773 10.8276 9.7632 10.0591 8.5436 8.7556 6.0472 6.1280 18 16.3983 9.3719 18 12.6593 13.1339 8.2014 8.3649 7.2497 7.3658 19 17.2260 15.6785 12.0853 11.1581 10.3356 9.6036 8.9501 19 14.3238 14.8775 20 12.4622 11.4699 10.5940 8.5136 7.4694 20 18.0456 22.0232 25.8077 16.3514 19.5235 9.8181 10.6748 25 6.1982 6.2593 6.4641 6.5660 17.4131 19.60X04 25 13.5903 15.6221 17.2920 18.6646 19.7928 9.1285 9.8226 10.2737 12.7834 13.7648 30 14.0939 15.3725 16.3742 22.3965 11.2578 30 11.6536 12.4090 12.9477 13.3317 9.0770 9.4269 9.6442 9.7791 7.8431 8.0552 8.1755 8.2438 35 29.4086 32.8347 11.6546 35 24.9986 27.3555 21.4872 23.1148 14.4982 15,0463 10.5668 10.7574 6.6166 6.6418 40 17.1591 11.9246 40 *Used to calculate the present value of a series of equal payments made at the end of each period. For example: What is the present value of $2,000 per year for 10 years assuming an annual interest rate of 9%? For (n = 10,i = 9%), the PV factor is 6.4177. $2,000 per year for 10 years is the equivalent of $12,835 today ($2,000 6.4177). Table B.4 Future Value of an Annuity of 1 f=[(1 + )" - 1]/i Rate Periods 1% 2% 3% 4% 5% 7% 8% 9% 10% 12% 15% Periods 6 6% 1.0000 1 1.0000 1.0000 1.0000 1.0000 1.000 1.0000 1.0XXO 1.0000 1.00XXU 1 1.0000 2.0200 1.0000 2.1200 2 2.0100 2.0300 2.0400 2.0600 2.0800 2.0900 2.1000 2.1500 2 2.0500 3.152 2.0700 3.2149 3 3.0604 3.0909 3.1216 3.1836 3.2464 3.3100 3.3744 3.4725 3 3.0301 4.0604 3.2781 4.5731 4 4.1216 4.1836 4.3101 4.3746 4.4399 4.5061 4.6410 4.7793 4.9934 4 4.2465 5.4163 5 5.1010 5.5256 6.3528 5 5.2040 6.3081 5.3091 6,4684 5.6371 6.9753 5.7507 7.1533 5.8666 7.3359 5.9847 7.5233 6.1051 7.7156 6.7424 8.7537 6 6 6.1520 6.6330 6.8019 8.1152 6 6 7 7.2135 7.4343 7.6625 7.8983 8.1420 8.3938 9.2004 9.4872 10.0890 7 7 8.6540 10.2598 11.0668 13.7268 8 8.2857 8.5830 8.8923 9.8975 8.9228 10.6366 12.4876 11.0285 11.4359 12.2997 9.2142 10.5828 8 9 9.3685 9.7546 11.4913 11.9780 16.7858 9 10.1591 11.4639 10 10.9497 12.0061 9.5491 11.0266 12.5779 14.2068 15.9171 10.4622 11.5668 13.1808 14.9716 10 13.0210 15.1929 17.5603 13.8164 15.7836 13.5795 15.9374 18.5312 20.3037 24.3493 11 12.1687 12.8078 11 13.4864 15.0258 14.7757 17.5487 20.6546 24.1331 28.0291 32.3926 12 12.6825 13.4121 16.8699 17.8885 12 13 14.1920 15.6178 17.0863 17.7130 14.6803 15.9739 16.6268 18.2919 13 20.1406 22.5505 20.1407 22.9534 26.0192 14.4866 16.6455 18.9771 21.4953 24.2149 27.1521 30.3243 33.7502 29.0017 34.3519 40.5047 14 19.5986 13.8093 14.9474 16.0969 17.2579 21.3843 24.5227 27.9750 31.7725 35.9497 18.8821 21.0151 23.2760 25.6725 14 15 17.2934 20.0236 25.1290 15 18.5989 20.1569 21.5786 23.6575 29.3609 33.0034 37.2797 42.7533 47.5804 55.7175 16 18.6393 16 27.8881 30.84012 17 20.0121 21.7616 25.8404 28.2129 36.9737 48.8837 65,0751 17 18 18.4304 19.6147 20.8109 28.1324 55.7497 75,8364 23.4144 25.1169 18 21.8245 23.6975 25.6454 27.6712 29.7781 41.6459 30.9057 33.7600 40.5447 45.5992 51.1591 37.4502 41.4463 41.3013 46.0185 33.9990 37.3790 40.9955 19 30.5390 63.4397 21.4123 22.8406 24.2974 32.0303 88.2118 19 20 20 22.0190 28.2432 26.8704 36.4593 47.5754 36.7856 54.8645 45.7620 73.1059 51.1001 84.7009 57.2750 98.3471 25 63.2490 25 30 79.0582 136,3075 33.0660 47.7271 66.4388 90.3203 120.7998 34.7849 41.6603 30 40.5681 49.9945 60.4020 56.0849 73.6522 94.4608 138.2369 113.2832 1723168 72.0524 102.4436 133.3339 212.7930 241.3327 434.7451 431.6635 881.1702 767.0914 1,779.0903 164.4940 271.0244 35 60.4621 111.4348 215.710R 35 40 48.8864 75.4013 95.0255 154.7620 199.6351 259.0565 337.8824 442.5926 40 Used to calculate the future value of a series of equal payments made at the end of each period. For example: What is the future value of $4,000 per year for 6 years assuming an annual interest rate of 8%? For (n = 6,1 = 8%), the FV factor is 7.3359. $4,000 per year for 6 years accumulates to $29.343.60 ($4,000 x 7.3359). Required information Problem 24-2A (Algo) Payback period, accounting rate of return, net present value, and net cash flow calculation LO P1, P2, P3 (The following information applies to the questions displayed below.) Project Y requires a $339,000 investment for new machinery with a four-year life and no salvage value. The project yields the following annual results. Cash flows occur evenly within each year. (PV of $1, FV of $1, PVA of $1, and FVA of $1) (Use appropriate factor(s) from the tables provided.) Project Y $360,000 Annual Amounts Sales of new product Expenses Materials, labor, and overhead (except depreciation) Depreciation-Machinery Selling, general, and administrative expenses Income 161,280 84,750 26,000 $ 87,970 Problem 24-2A (Algo) Part 1 Required: 1. Compute Project Y's annual net cash flows. Annual amounts Income Cash Flow Sales of new product $ 360,000 161,280 Expenses Materials, labor, and overhead (except depreciation) Depreciation-Machinery Selling, general, and administrative expenses 84,750 26,000 Income $ 87,970 Net cash flow $ 0 Problem 24-2A (Algo) Part 2 2. Determine Project Y's payback period. Payback Period Numerator: Denominator: 1 = Payback Period Project Y II 0 Problem 24-2A (Algo) Part 3 3. Compute Project Y's accounting rate of return. Accounting Rate of Return Numerator: Denominator: / = Accounting Rate of Return Project Y Problem 24-2A (Algo) Part 4 4. Determine Project Y's net present value using 8% as the discount rate. (Do not round intermediate calculations. Round your present value factor to 4 decimals and final answers to the nearest whole dollar.) Net Cash Flows Present Value of Annuity at 8% = Present Value of Net Cash Flows Years 1-6 Net present value Table B.1* Present Value of 1 p=1/(1+1)" HA Rate Periods 1% 2% 3% 4% 5% 6% 7% 8% 9% 10% 12% 15% Periods 1 0.9901 0.9804 0.9709 0.9615 0.9524 0.9434 0.9346 0.9259 0.9174 0.9091 0.8929 0.8696 1 2 0.9803 0.9612 0.9426 0.9246 0.9070 0.8900 0.8734 0.8573 0.8417 0.8264 0.7972 0.7561 2 2 3 0.9706 0.9423 0.9151 0.8890 0.8638 0.8396 0.8163 0.7938 0.7722 0.7513 0.7118 0.6575 3 4 0.9610 0.9238 0.8885 0.8548 0.8227 0.7921 0.7629 0.7350 0.7084 0.6830 0.6355 0.5718 4 5 0.9515 0.9057 0.8626 0.8219 0.7835 0.7473 0.7130 0.6806 0.6499 0.6209 0.5674 0.4972 5 6 0.9420 0.8880 0.8375 0.7903 0.7462 0.7050 0.6663 0.6302 0.5963 0.5645 0.5066 0.4323 6 7 0.9327 0.8706 0.8131 0.7599 0.7107 0.6651 0.6227 0.5835 0.5470 0.5132 0.4523 0.3759 7 8 0.9235 0.8535 0.7894 0.7307 0.6768 0.6274 0.5820 0.5403 0.5019 0.4665 0.4039 0.3269 8 8 9 0.9143 0.8368 0.7664 0.7026 0.6446 0.5919 0.5439 0.5002 0.4604 0.4241 0.3606 0.2843 9 10 0.9053 0.8203 0.7441 0.6756 0.6139 OSSR4 0_5083 0.4632 0.4224 0.3855 0.3220 0.2472 10 11 0.8963 0.8043 0.7224 0.6496 0.5847 0.5268 0.4751 0.4289 0.3875 0.3505 0.2875 0.2149 11 12 0.8874 0.7885 0.7014 0.6246 0.5568 0.4970 0.4440 0.3971 0.3555 0.3186 0.2567 0.1869 12 13 0.8787 0.7730 0.6810 0.60X06 0.5303 0.4688 0.4150 0.3677 0.3262 0.2897 0.2292 0.1625 13 14 0.870X 0.7579 0.6611 0.5775 0.5051 0.4423 0.3878 0.3405 0.2992 0.2633 0.2046 0.1413 14 15 0.8613 0.7430 0.6419 0.5553 0.4810 (4123 0.3624 0.3152 0.2745 0.2394 0.1827 0.1229 15 16 0.8528 0.7284 0.6232 0.5339 0.4581 0.3936 0.3387 0.2919 0.2176 0.1631 0.1069 16 17 0.8444 0.7142 0.6050 0.5134 0.4363 0.3714 0.3166 0.2703 0.2311 0.1978 0.1456 0.0929 17 18 0.8360 0.7002 0.5874 0.4936 0.415S 0.3503 0.2959 0.2502 0.2120 0.1799 0.1300 0.0808 18 19 0.8277 0.6864 0.5703 0.4746 0.3957 0.3305 0.2765 0.2317 0.1945 0.1635 0.1161 0.0703 19 20 0.8195 0.6730 0.5537 0.4564 0.3769 0.3118 0.2584 0.2145 0.1784 0.1486 0.1037 0.0611 20 25 0.7798 0.6095 0.4776 0.3751 0.2953 0.2330 0.1842 0.1460 0.1160 0.0923 0.0588 0.0304 25 30 0.7419 0.5521 0.4120 0.3083 0.2314 0.1741 0.1314 0.0994 0.0754 0.0573 0.0334 0.0151 30 35 0.7059 0.5000 0.3554 0.2534 0.1813 0.1301 0.0937 0,0676 0.0490 0.0356 0.0189 0,0075 35 41) 0.4529 0.3066 0.2083 0.1420 0.0972 0.0668 0.0460 0.0318 0.0221 0.0107 0.0037 40 *Used to compute the present value of a known future amount. For example: How much would you need to invest today at 10% compounded semiannually to accumulate $5,000 in 6 years from today? Using the factors of n = 12 and i = 5% (12 semiannual periods and a semiannual rate of 5%), the factor is 0.5568. You would need to invest $2,784 today ($5,000 x 0.5568). 0.2519 0.6717 Table B.2 Future Value of 1 f=(1 + i)" Rate 1% 2% 3% 4% 5% 6% 7% 8% 9% 10% 12% 15% Periods 0 Periods 0 1.0000 1.0000 1.XXXO 1.0000 1.0000 1.0000 1.0000 1.0000 1.0000 1.0000 1.0300 1.0000 1.0600 1.0000 1.0700 1 1.0100 1.0200 1.0400 1.0500 1.0800 1.0900 1.1000 1 1.1200 1.2544 1.1500 1.3225 1.0609 1.1025 1.2100 2 2 2 3 1.0201 1.0303 1.0406 1.0404 1.0612 1.0824 1.0816 1.1249 1.1236 1.1910 1.1449 1.2250 1.1664 1.2597 1.1881 1.2950 1.0927 1.1576 1.3310 1.4049 1.5209 3 4 1.1255 1.1699 1.2155 1.2625 1.3108 1.3605 1.4116 1.4641 1.7490 4 1.5735 1.7623 5 1.0510 1.1593 1.2167 1.3382 1.4026 1.4693 1.5386 5 1.2763 1.3401 1.1041 1.1262 1.1487 1.6105 1.7716 2.0114 2.3131 1.0615 1.2653 1.4185 1.5007 1.5869 1.6771 6 7 6 1.9738 2.2107 1.3159 1.4071 1.5036 1.7138 1.8280 1.9487 2.6600 7 8 1.3686 1.1941 1.2299 1.2668 1.3048 1.3439 1.8509 2.4760 1.0721 1.0829 1.0937 1.1046 8 1.4775 1.5513 1.6058 1.7182 1.8385 1.9672 1.9926 2.1719 1.5938 1.6895 1.7908 2.1436 2.3579 3.0590 3.5179 9 14233 1.1717 1.1951 1.2190 1.2434 1.9990 2.7731 9 9 10 2.1589 2.3674 3.1058 10 1.4802 1.5395 1.6289 1.7103 2.5937 2.8531 4.0456 4.6524 11 1.1157 1.3842 1.8983 2.1049 2.3316 2.5804 3.4785 11 12 1.1268 1.2682 1.4258 1.6010 1.7959 2.2522 2.8127 12 2.0122 2.1329 3.1384 3.4523 3.8960 4.3635 13 1.1381 1.4685 1.6651 2.5182 2.7196 2.9372 1.8856 1.2936 1.3195 13 5.3503 6.1528 7.0757 14 1.1495 1.7317 1.9799 3.7975 3.0658 3.3417 3.6425 4.8871 1.S126 1. SSRO 14 2.2609 2.3966 2.4098 2.5785 2.7590 2.9522 15 15 1.1610 1.1726 1.3459 1.3728 1.8009 1.8730 2.0789 2.1829 3.1722 3.4259 5.4736 6.1304 8.1371 9.3576 16 1.6047 16 2.5404 2.6928 3.9703 4.3276 17 1.1843 1.9479 3.1588 3.7000 17 4.1772 4.5950 5.0545 S.5599 6.1159 1.4002 1.4282 1.4568 2.2920 2.4066 1.6528 1.7024 1.7535 6.8660 7.6900 18 10.7613 12.3755 1.1961 2.0258 2.8543 4.7171 18 3.3799 3.6165 3.9960 4.3157 19 2.1068 2.5270 3.0256 5.1417 8.6128 14.2318 19 1.2081 1.2202 20 1.4859 2.1911 2.6533 3.2071 3.8697 5.6044 6.7275 9.6463 20 4.6610 6.8485 25 1.2824 1.8061 2.0938 2.4273 1.6406 3.3864 5.4274 8.6231 10.8347 25 2.6658 3.2434 4.2919 5.7435 16.3665 32.9190 66.2118 133.1755 1.3478 1.8114 4.3219 7.6123 10.0627 13.2677 30 30 35 17.0001 29.9599 52.7996 93,0510 1.4166 1.9999 2.2080 35 2.8139 3.2620 3.9461 4.8010 5.5160 7.0400 7.6861 10.2857 10.6766 14.9745 17.4494 28.1024 45.2593 14.7853 21.7245 20.4140 31.4094 40 1.4889 267.8635 40 Used to compute the future value of a known present amount. For example: What is the accumulated value of $3,000 invested today at 8% compounded quarterly for 5 years? Using the factors of n = 20 and i = 2% (20 quarterly periods and a quarterly interest rate of 2%), the factor is 1.4859. The accumulated value is $4,457.70 ($3,000 1.4859). Table B.3 Present Value of an Annuity of 1 p= [1 - 1/(1+1)"1/1 Rate 7% Periods 1% 2% 3% 4% 5% 6% 8% 9% 10% 12% 15% Periods 1 0.9901 0.9709 0.9615 0.9434 0.9346 0.9259 0.9174 0.9091 0.8929 0.8696 1 2 1.9704 0.9804 1.9416 2.8839 1.9135 1.8861 1.8334 2 0.9524 1.8594 2.7232 3.5460 1.7833 2.5771 1.7355 2.4869 1.6901 2.4018 3 1.8080 2.6243 3.3872 1.6257 2.2832 2.9410 2.8286 1.7591 2.5313 3.2397 2.7751 2.6730 3 _ 4 3.9020 3.8077 3.7171 3.6299 3.4651 3.3121 3.1699 3.0373 4 4 S 4.8534 4.1002 3.8897 3.7908 4.7135 5.6014 S 4.5797 5.4172 4.4518 5.2421 4.3295 5.0757 4.2124 4.9173 3.9927 4.6229 2.8550 3.3522 3.7845 3.6048 4.1114 6 5.7955 4.7665 6 7 6.0021 5.7864 5.5824 5.3893 5.2064 4.5638 4.4859 5.0330 5.5348 6.7282 7.6517 4.1604 4.3553 4.8684 5.3349 6.4720 7.3255 7 6.2303 7.0197 7.7861 8 6.7327 6.4632 6.2098 5.7466 4.9676 8 5.9713 6.SIS2 9 8.5660 8.1622 7.4353 6.8017 5.7590 5.3282 7.1078 7.7217 9 6.2469 6.7101 4.4873 4.7716 5.0188 10 9.4713 8.5302 8.1109 6.1446 5.9952 6.4177 6,8052 8.9826 9.7868 10 7.3601 7,8869 5.6502 5.9377 11 10.3676 9.2526 7.0236 7.4987 7.9427 8.7605 8.3064 7.1390 5.2337 11 12 11.2551 9.9540 8.8633 8.3838 10.5753 11.3484 12 7.5361 7.9038 6.4951 6.8137 7.1034 7.1607 7.4869 6.1944 6.4235 5.4206 5.5831 13 12.1337 9.3936 8.3577 13 8.8527 9.2950 14 10.6350 11.2961 11.9379 12.1062 8.7455 7.3667 6.6282 14 9.3851 9.9856 10.5631 11.1184 11.6523 12.1657 15 7.7862 8.0607 13.0037 13.8651 14.7179 15.5623 9.8986 10.3797 10.8378 6.8109 12.8493 13.5777 8.2442 8.5595 8.8514 15 9.7122 10.1059 9.1079 9.4466 5.7245 5.8474 5.9542 7.6061 7,8237 16 12.5611 8.3126 6.9740 16 17 9.1216 8.0216 7.1196 17 14.2919 14.9920 13.1661 13.7535 11.2741 11.6896 10.4773 10.8276 9.7632 10.0591 8.5436 8.7556 6.0472 6.1280 18 16.3983 9.3719 18 12.6593 13.1339 8.2014 8.3649 7.2497 7.3658 19 17.2260 15.6785 12.0853 11.1581 10.3356 9.6036 8.9501 19 14.3238 14.8775 20 12.4622 11.4699 10.5940 8.5136 7.4694 20 18.0456 22.0232 25.8077 16.3514 19.5235 9.8181 10.6748 25 6.1982 6.2593 6.4641 6.5660 17.4131 19.60X04 25 13.5903 15.6221 17.2920 18.6646 19.7928 9.1285 9.8226 10.2737 12.7834 13.7648 30 14.0939 15.3725 16.3742 22.3965 11.2578 30 11.6536 12.4090 12.9477 13.3317 9.0770 9.4269 9.6442 9.7791 7.8431 8.0552 8.1755 8.2438 35 29.4086 32.8347 11.6546 35 24.9986 27.3555 21.4872 23.1148 14.4982 15,0463 10.5668 10.7574 6.6166 6.6418 40 17.1591 11.9246 40 *Used to calculate the present value of a series of equal payments made at the end of each period. For example: What is the present value of $2,000 per year for 10 years assuming an annual interest rate of 9%? For (n = 10,i = 9%), the PV factor is 6.4177. $2,000 per year for 10 years is the equivalent of $12,835 today ($2,000 6.4177). Table B.4 Future Value of an Annuity of 1 f=[(1 + )" - 1]/i Rate Periods 1% 2% 3% 4% 5% 7% 8% 9% 10% 12% 15% Periods 6 6% 1.0000 1 1.0000 1.0000 1.0000 1.0000 1.000 1.0000 1.0XXO 1.0000 1.00XXU 1 1.0000 2.0200 1.0000 2.1200 2 2.0100 2.0300 2.0400 2.0600 2.0800 2.0900 2.1000 2.1500 2 2.0500 3.152 2.0700 3.2149 3 3.0604 3.0909 3.1216 3.1836 3.2464 3.3100 3.3744 3.4725 3 3.0301 4.0604 3.2781 4.5731 4 4.1216 4.1836 4.3101 4.3746 4.4399 4.5061 4.6410 4.7793 4.9934 4 4.2465 5.4163 5 5.1010 5.5256 6.3528 5 5.2040 6.3081 5.3091 6,4684 5.6371 6.9753 5.7507 7.1533 5.8666 7.3359 5.9847 7.5233 6.1051 7.7156 6.7424 8.7537 6 6 6.1520 6.6330 6.8019 8.1152 6 6 7 7.2135 7.4343 7.6625 7.8983 8.1420 8.3938 9.2004 9.4872 10.0890 7 7 8.6540 10.2598 11.0668 13.7268 8 8.2857 8.5830 8.8923 9.8975 8.9228 10.6366 12.4876 11.0285 11.4359 12.2997 9.2142 10.5828 8 9 9.3685 9.7546 11.4913 11.9780 16.7858 9 10.1591 11.4639 10 10.9497 12.0061 9.5491 11.0266 12.5779 14.2068 15.9171 10.4622 11.5668 13.1808 14.9716 10 13.0210 15.1929 17.5603 13.8164 15.7836 13.5795 15.9374 18.5312 20.3037 24.3493 11 12.1687 12.8078 11 13.4864 15.0258 14.7757 17.5487 20.6546 24.1331 28.0291 32.3926 12 12.6825 13.4121 16.8699 17.8885 12 13 14.1920 15.6178 17.0863 17.7130 14.6803 15.9739 16.6268 18.2919 13 20.1406 22.5505 20.1407 22.9534 26.0192 14.4866 16.6455 18.9771 21.4953 24.2149 27.1521 30.3243 33.7502 29.0017 34.3519 40.5047 14 19.5986 13.8093 14.9474 16.0969 17.2579 21.3843 24.5227 27.9750 31.7725 35.9497 18.8821 21.0151 23.2760 25.6725 14 15 17.2934 20.0236 25.1290 15 18.5989 20.1569 21.5786 23.6575 29.3609 33.0034 37.2797 42.7533 47.5804 55.7175 16 18.6393 16 27.8881 30.84012 17 20.0121 21.7616 25.8404 28.2129 36.9737 48.8837 65,0751 17 18 18.4304 19.6147 20.8109 28.1324 55.7497 75,8364 23.4144 25.1169 18 21.8245 23.6975 25.6454 27.6712 29.7781 41.6459 30.9057 33.7600 40.5447 45.5992 51.1591 37.4502 41.4463 41.3013 46.0185 33.9990 37.3790 40.9955 19 30.5390 63.4397 21.4123 22.8406 24.2974 32.0303 88.2118 19 20 20 22.0190 28.2432 26.8704 36.4593 47.5754 36.7856 54.8645 45.7620 73.1059 51.1001 84.7009 57.2750 98.3471 25 63.2490 25 30 79.0582 136,3075 33.0660 47.7271 66.4388 90.3203 120.7998 34.7849 41.6603 30 40.5681 49.9945 60.4020 56.0849 73.6522 94.4608 138.2369 113.2832 1723168 72.0524 102.4436 133.3339 212.7930 241.3327 434.7451 431.6635 881.1702 767.0914 1,779.0903 164.4940 271.0244 35 60.4621 111.4348 215.710R 35 40 48.8864 75.4013 95.0255 154.7620 199.6351 259.0565 337.8824 442.5926 40 Used to calculate the future value of a series of equal payments made at the end of each period. For example: What is the future value of $4,000 per year for 6 years assuming an annual interest rate of 8%? For (n = 6,1 = 8%), the FV factor is 7.3359. $4,000 per year for 6 years accumulates to $29.343.60 ($4,000 x 7.3359)
Step by Step Solution
There are 3 Steps involved in it
Get step-by-step solutions from verified subject matter experts
