Question: this is a matlab-question. please do now answer if you are not sure on how to do it correct. I need help to animate the

this is a matlab-question. please do now answer if you are not sure on how to do it correct.
I need help to animate the swing of an pendulum. The animation can be made with the following code:
function anim (tout, fi, L)
for i=1:length(tout)-1
x0= L*sin(fi(i)); y0=-L*cos(fi(i));
plot ([0, x0] , [0,y0], '-o')
axis ('equal')
axis ([-1 1 -1 0]*1.2*L)
drawnow
pause(tout(i+1)-tout(i))
end;
end
L=length of the pendulum= 4 m
tout= is the times at which I, with Runge-Kutta4, have calculated the solution (see code below)
fi= calculated angel at the corresponding time
these values can be found using the following Matlab-code for the pendulum, but my problem is that I dont know how to use the following code, so I can find the values fi and tout so I can do the animation.
format long
L=4;
g=9.82;
f=@(t,y) [y(2),-(g*sin(y(1)))/L];
[x,y]=runge4(f,[0,10],[pi/3;0],0.1);
plot(x,y);
legend('angel','angular velocity');
function [x,y]=runge4(f,tspan,y0,h)
x = tspan(1):h:tspan(2);
y = zeros(length(x),2);
y(1,:) = y0;
for i=1:(length(x)-1)
k_1 = f(x(i),y(i,:));
k_2 = f(x(i)+0.5*h,y(i,:)+0.5*h*k_1);
k_3 = f((x(i)+0.5*h),(y(i,:)+0.5*h*k_2));
k_4 = f((x(i)+h),(y(i,:)+k_3*h));
y(i+1,:) = y(i,:) + (1/6)*(k_1+2*k_2+2*k_3+k_4)*h;
end
end
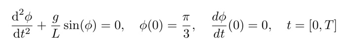
the pendulum can be described with a differential equation (see picture). is the angel and is the angular velocity
 this is a matlab-question. please do now answer if you are

det + sin(a) = 0, 6(0) = el 10) = 0, += [0, 1] 2012 0, t= det + sin(a) = 0, 6(0) = el 10) = 0, += [0, 1] 2012 0, t=

Step by Step Solution

There are 3 Steps involved in it

1 Expert Approved Answer
Step: 1 Unlock blur-text-image
Question Has Been Solved by an Expert!

Get step-by-step solutions from verified subject matter experts

Step: 2 Unlock
Step: 3 Unlock

Students Have Also Explored These Related Databases Questions!