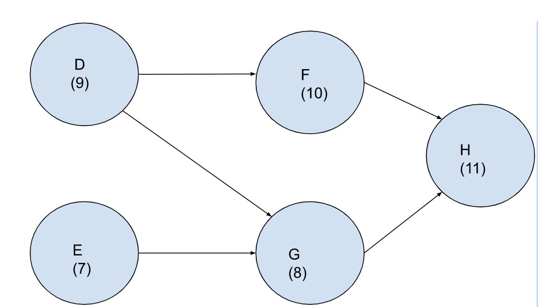
Question: This is a network model with 5 activities, plus their estimated completed times (in parentheses). If the latest finish time for activity H is 74,
This is a network model with 5 activities, plus their estimated completed times (in parentheses).

If the latest finish time for activity H is 74, what are the latest start times for:
-
Activity D
-
Activity E
Step by Step Solution
There are 3 Steps involved in it
Get step-by-step solutions from verified subject matter experts
