Question: This is a question from my differential equation class. Free Undamped Spring-Mass Oscillating System m (kg) ty Consider the Free Undamped spring-mass system shown above.
This is a question from my differential equation class.





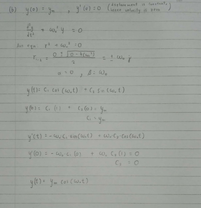
Free Undamped Spring-Mass Oscillating System m (kg) ty Consider the Free Undamped spring-mass system shown above. (a) Develop the Simple Harmonic Motion Equation for this system containing the Undamped Natural Frequency wo and initial conditions. (b) Solve the IVP in part (a) for y as a function of t. (c) Convert your solution above to the Amplitude-Phase form. (d) Sketch this Simple Harmonic Motion on a y-t graph.Date ( 2 ) Free Undamped Spring - Mass Oscillating System (0 ) W. = Jm ym = displacement CAs the system is undamped, no air resistance involved, value of displacement does not change ) weight = mass * acceleration displacement - velocity : it velocity -+ geceleration : 272 = m de1 F = ma Hooke's Law : F = - ky ma = - ky 144 d' y + ky = 0 1 2 174+ 60024 -0\f(
Step by Step Solution
There are 3 Steps involved in it
Get step-by-step solutions from verified subject matter experts
